Variable Compleja II

chevron_left
chevron_right
Todo
Apuntes
Ejercicios
Exámenes
chevron_left
chevron_right

Soluciones del parcial 1 (2025-26) del profesor José Luis Fernández Pérez

7 páginas

He publicado nuevos apuntes de 4º Variable Compleja II: ResumenComplejaII.pdf

26 páginas

He publicado nuevos apuntes de 4º Variable Compleja II: Tema-3.-Familias-de-funciones-normales.pdf

42 páginas

He publicado nuevos apuntes de 4º Variable Compleja II: Tema-2.-Funciones-Armonicas.pdf

36 páginas

He publicado nuevos apuntes de 4º Variable Compleja II: Tema-1.-Aplicaciones-conformes.pdf

20 páginas

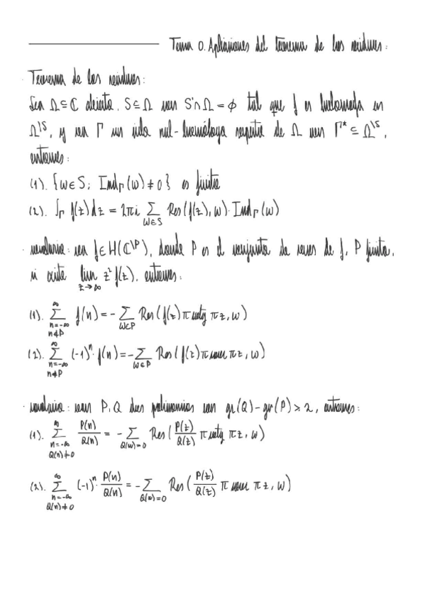
He publicado nuevos apuntes de 4º Variable Compleja II: Tema-0.-Aplicaciones-del-Ta-de-los-Residuos.pdf

20 páginas

apuntes

-

Temas Variable Compleja II

He publicado nuevos apuntes de 4º Variable Compleja II: Temas Variable Compleja II

Apuntes-1-variable-compleja-II.pdf
Apuntes-2-variable-compleja-II.pdf
Apuntes-3.-Variable-Compleja-II.pdf
Apuntes-4.-Variable-Compleja-II.pdf

ejercicios

-

Hojas Variable Compleja II

He publicado nuevos ejercicios de 4º Variable Compleja II: Hojas Variable Compleja II

Hoja-1.-Variable-compleja-II.pdf
Hoja-2.-Variable-Compleja-II.pdf
Hoja-3.-Variable-Compleja-II.pdf
Hoja-4.-Variable-Compleja-II.pdf
Hoja-5.-Variable-Compleja-II.pdf
Anónimo

@Anónimo

He publicado nuevos examenes de 4º Variable Compleja II: Examen-resuelto-primer-parcial.pdf

5 páginas
Anónimo

@Anónimo

He publicado nuevos examenes de 4º Variable Compleja II: Examen-resuelto-segundo-parcial.pdf

5 páginas

ejercicios

-

Relaciones resueltas

He publicado nuevos ejercicios de 4º Variable Compleja II: Relaciones resueltas

Relacion-1.pdf
Relacion-2.pdf
Relacion-3.pdf
Relacion-4.pdf
Relacion-5.pdf

He publicado nuevos examenes de 4º Variable Compleja II: Final-2023.pdf

1 página

He publicado nuevos examenes de 4º Variable Compleja II: Parcial-2-2023.pdf

1 página

ejercicios

-

Soluciones Ejercicios VCII

He publicado nuevos ejercicios de 4º Variable Compleja II: Soluciones Ejercicios VCII

hoja1SOLVCIICM.pdf
hoja2SOLVCIICM.pdf
hoja3SOLVCIICM.pdf

He publicado nuevos examenes de 4º Variable Compleja II: Parcial-1-2023.pdf

1 página
Anónimo

@Anónimo

He publicado nuevos examenes de 4º Variable Compleja II: Soluciones-examen-parcial.pdf

6 páginas
Anónimo

@Anónimo

apuntes

-

Prácticas

He publicado nuevos apuntes de 5º Variable Compleja II: Prácticas

Tema-13-Metodologia-conceptos-generales.pdf
Tema-10-Metodologia-introduccion.pdf
Tema-11-Metodologia-general.pdf
Tema-12-Presion-sanguinea.pdf
Tema-7-Flujo-numerico.pdf
Tema-8-Posicionamiento.pdf

apuntes

-

Prácticas

He publicado nuevos apuntes de 5º Variable Compleja II: Prácticas

Tema-20-Resistencia-de-materiales-ejercicios.pdf
Tema-32-Ecuaciones-numericas.pdf
Tema-14.pdf
Tema-21-Resistencia-de-materiales-II.pdf
Tema-27.pdf
Tema-23-Parabolas.pdf
Anónimo

@Anónimo

examenes

-

Examenes Resueltos

He publicado nuevos examenes de 4º Variable Compleja II: Examenes Resueltos

ex03s.pdf
ex01s.pdf
ex02s.pdf
Anónimo

@Anónimo

He publicado nuevos examenes de 4º Variable Compleja II: final2022.jpg

Imagen
Anónimo

@Anónimo

He publicado nuevos examenes de 4º Variable Compleja II: parcial2-2022.pdf

1 página
Anónimo

@Anónimo

He publicado nuevos examenes de 4º Variable Compleja II: parcial-2022.pdf

1 página

ejercicios

-

Relaciones de Ejercicios Resueltas

He publicado nuevos ejercicios de 4º Variable Compleja II: Relaciones de Ejercicios Resueltas

Ejercicios-1.pdf
Ejercicios-2.pdf
Soluciones-2.pdf
Ejercicios-3.pdf
Soluciones-3.pdf
Ejercicios-4.pdf

He publicado nuevos apuntes de 4º Variable Compleja II: Libro-Teoria-Variable-Compleja-II.pdf

140 páginas

examenes

-

Exámenes 2020/2021 resueltos

He publicado nuevos examenes de 4º Variable Compleja II: Exámenes 2020/2021 resueltos

Parcial2resuelto.pdf
Parcial1resuelto.pdf

examenes

-

Pruebas 2021. Tema 1,2,3,4

He publicado nuevos examenes de 4º Variable Compleja II: Pruebas 2021. Tema 1,2,3,4

Prueba1-7.pdf
Prueba2-3.pdf

He publicado nuevos examenes de 4º Variable Compleja II: ExamenFinal.pdf

1 página

examenes

-

Prueba II 2020 resuelta

He publicado nuevos examenes de 4º Variable Compleja II: Prueba II 2020 resuelta

Prueba2resuelta.pdf
Prueba2.pdf

examenes

-

Prueba I 2020 resuelta

He publicado nuevos examenes de 4º Variable Compleja II: Prueba I 2020 resuelta

Prueba1.pdf
Prueba1resuelta.pdf

He publicado nuevos ejercicios de 4º Variable Compleja II: ejercicioscompleja.pdf

26 páginas

He publicado nuevos apuntes de 4º Variable Compleja II: compleja.pdf

82 páginas
¡Estás al día!

¡Estás al día!

Has visto todos los archivos