Todo
Apuntes
chevron_left
chevron_right

apuntes

-

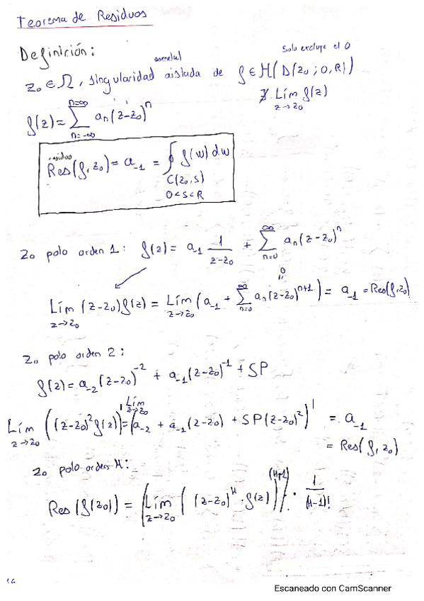
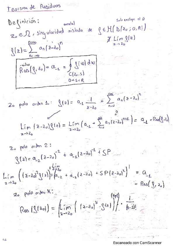
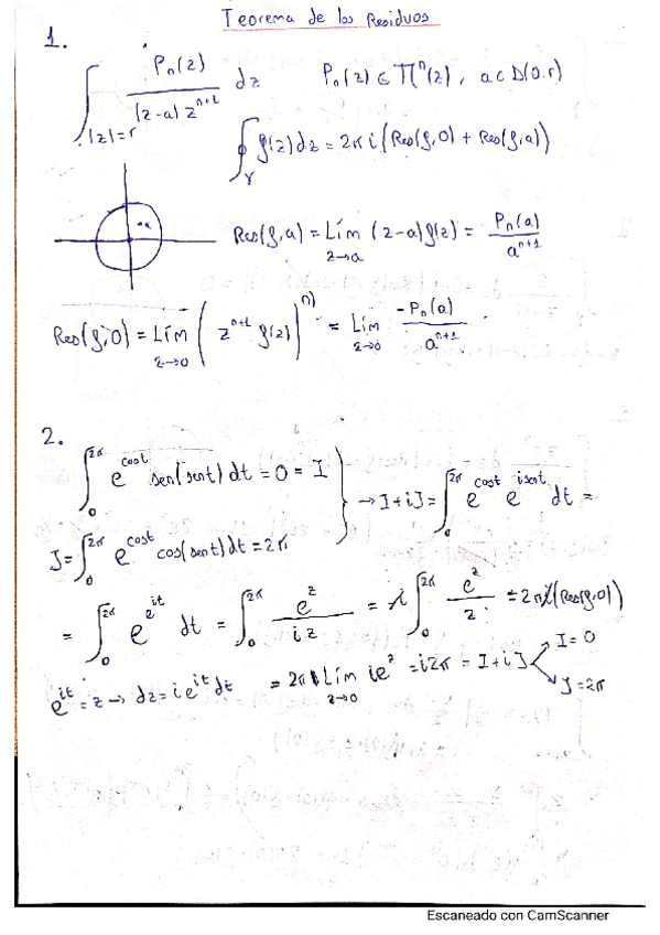
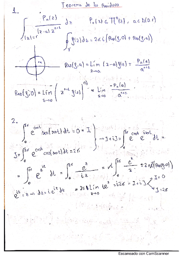
Teorema de Residuos

He publicado nuevos apuntes de 2º Variable Compleja y Análisis de Fourier: Teorema de Residuos

TeoriaResiduos.pdf
TeoriaResiduos.pdf
EjerciciosResiduos.pdf
EjerciciosResiduos.pdf
EjerciciosAplResiduos.pdf
EjerciciosAplResiduos.pdf

apuntes

-

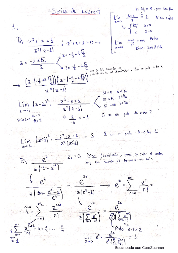
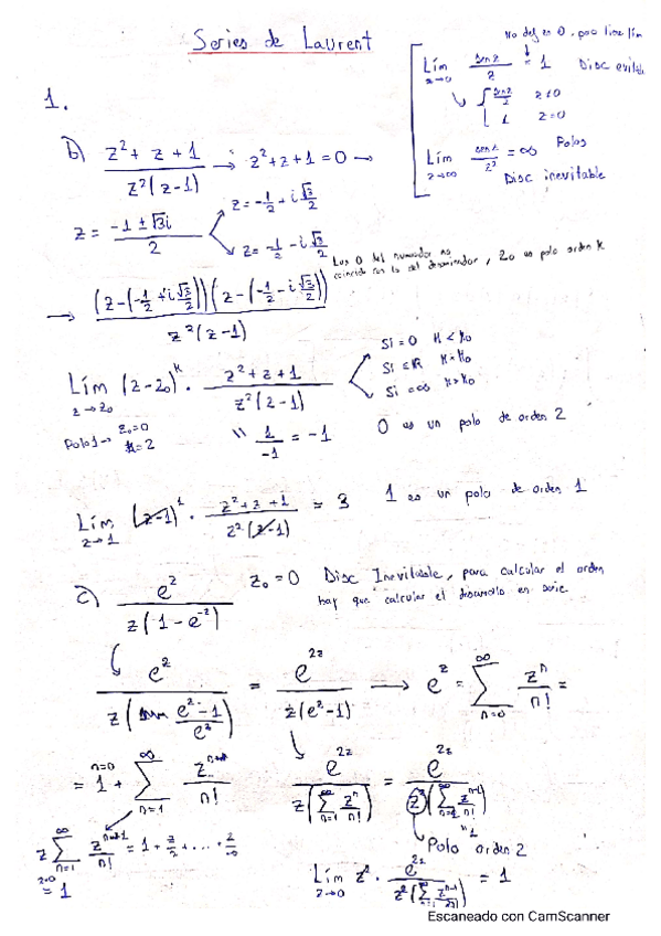
Series Laurent

He publicado nuevos apuntes de 2º Variable Compleja y Análisis de Fourier: Series Laurent

EjerciciosSerieLaurent.pdf
EjerciciosSerieLaurent.pdf

apuntes

-

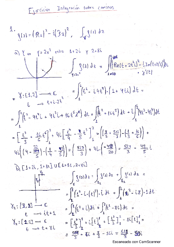
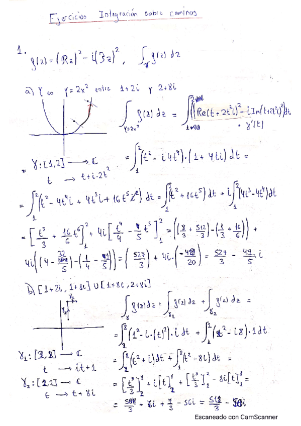
Integrales de camino

He publicado nuevos apuntes de 2º Variable Compleja y Análisis de Fourier: Integrales de camino

EjerciciosIntegrales.pdf
EjerciciosIntegrales.pdf
IntegralesSobreCaminos.pdf
IntegralesSobreCaminos.pdf

apuntes

-

Funciones complejas

He publicado nuevos apuntes de 2º Variable Compleja y Análisis de Fourier: Funciones complejas

EjerciciosComplejos.pdf
EjerciciosComplejos.pdf
EjerciciosSeriesPotencias.pdf
EjerciciosSeriesPotencias.pdf
ResumenFuncionesComplejas.pdf
ResumenFuncionesComplejas.pdf

apuntes

-

Fourier

He publicado nuevos apuntes de 2º Variable Compleja y Análisis de Fourier: Fourier

Teoria-Fourier.pdf
Teoria-Fourier.pdf
TransformadasTrabajos.pdf
TransformadasTrabajos.pdf