chevron_left
chevron_right
Todo
Apuntes
Ejercicios
Exámenes
chevron_left
chevron_right

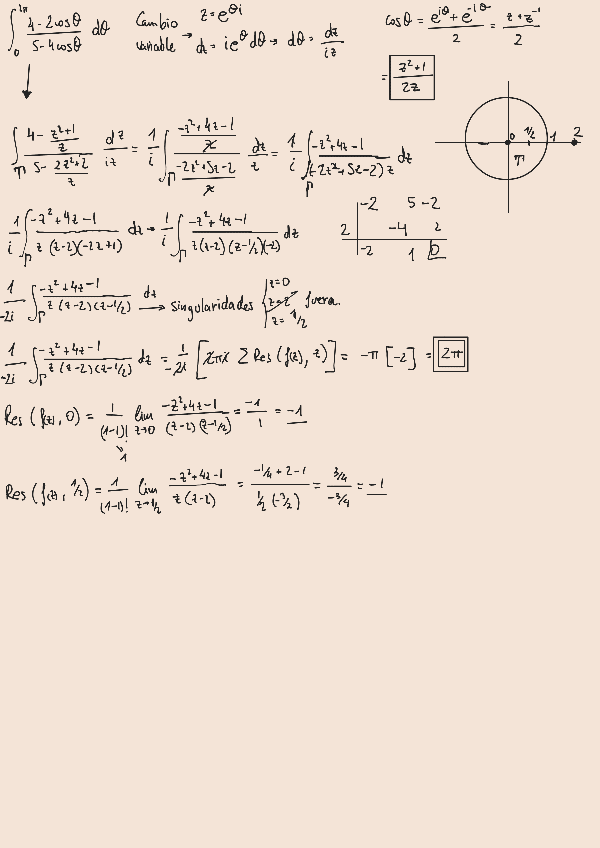
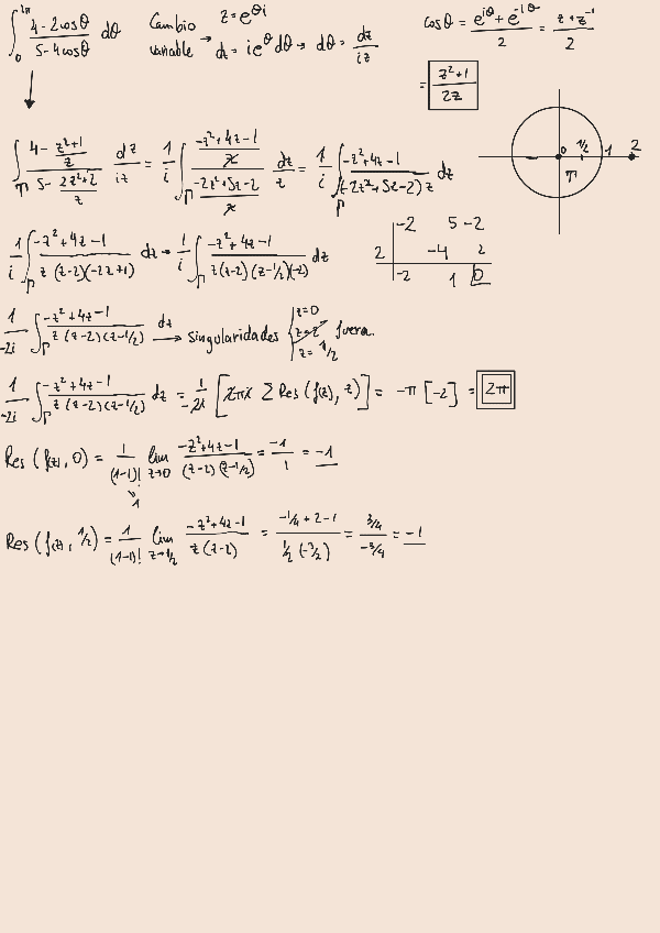
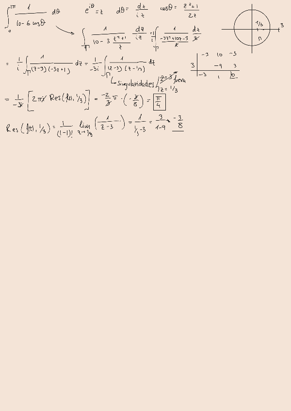
He publicado nuevos apuntes de 2º Variable Compleja: Correccion-examenes-2024.pdf

11 páginas

He publicado nuevos examenes de 2º Variable Compleja: PEPI-2024.pdf

2 páginas

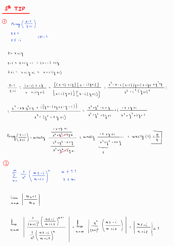
He publicado nuevos examenes de 2º Variable Compleja: TIP-2023.pdf

1 página

He publicado nuevos examenes de 2º Variable Compleja: TIP-2021.pdf

1 página

He publicado nuevos examenes de 2º Variable Compleja: TIP-2018.pdf

1 página

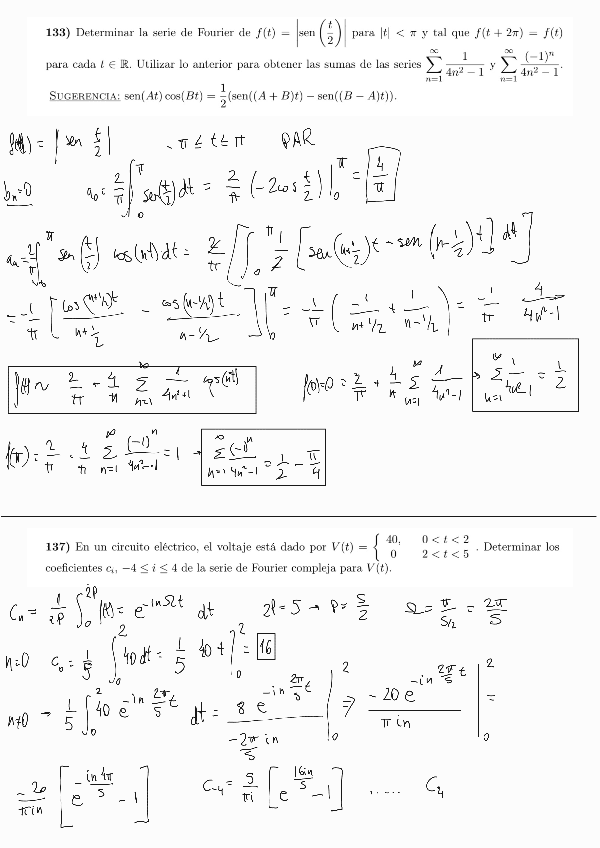
He publicado nuevos ejercicios de 2º Variable Compleja: T6TransformadaFourier.pdf

3 páginas

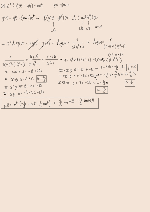
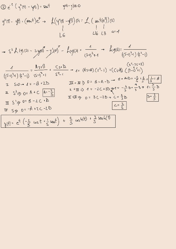
He publicado nuevos ejercicios de 2º Variable Compleja: T5Laplace.pdf

2 páginas

He publicado nuevos examenes de 2º Variable Compleja: PEPI-2021.pdf

1 página

He publicado nuevos examenes de 2º Variable Compleja: PEPI-2022.pdf

1 página

He publicado nuevos examenes de 2º Variable Compleja: PEPI-2019.pdf

1 página

He publicado nuevos examenes de 2º Variable Compleja: PEPI-2015.pdf

1 página

He publicado nuevos examenes de 2º Variable Compleja: TIP-2024.pdf

2 páginas
¡Estás al día!

¡Estás al día!

Has visto todos los archivos