chevron_left
chevron_right
Todo
Ejercicios
chevron_left
chevron_right

ejercicios

-

Ejercicios integrales

He publicado nuevos ejercicios de 3º Variable Compleja: Ejercicios integrales

tema-9.pdf
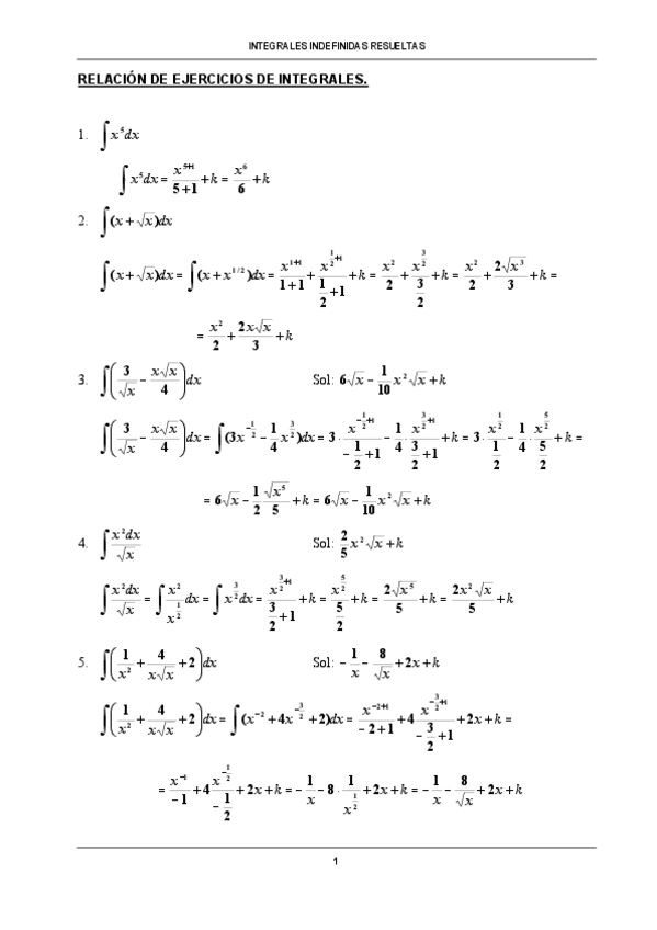
Integrales-indefinidas-resueltas.pdf
TFC.pdf
Integralesindefinidas.pdf
ejerciciosintegraldefinida.pdf
Integral-Indefinida.pdf
¡Estás al día!

¡Estás al día!

Has visto todos los archivos