chevron_left
chevron_right
Todo
Apuntes
Ejercicios
Exámenes
Prácticas
publication
Trabajos
chevron_left
chevron_right

examenes

-

TODOS los EXAMENES con SOLUCION 2015-2026

He publicado nuevos examenes de 4º Vehículos Espaciales: TODOS los EXAMENES con SOLUCION 2015-2026

PEI-2024-25.pdf
PEI-2023-24.pdf
PEI-2019-20.pdf
PEI-2017-18.pdf
PEI-2016-17.pdf
Ordinario-2024-25.pdf

apuntes

-

Guías Tipos de Ejercicios

Guías Completas de ejercicios típicos de exámenes...

Guía Completa Eclipses.pdf
Guía FOV y Swath.pdf
Guía HLAN.pdf
Guía Maniobras Interplanetarias.pdf
Guía Maniobras Planetocéntricas.pdf
Guía Trazas.pdf

examenes

-

Exámenes

He publicado nuevos examenes de 4º Vehículos Espaciales: Exámenes

PEI-25-26.pdf
EE-24-25.pdf
EO-24-25.pdf
EE-23-24.pdf
EO-23-24.pdf
EE-22-23.pdf

He publicado nuevos examenes de 4º Vehículos Espaciales: EXTRA-24-25-RESUELTO.pdf

7 páginas

He publicado nuevos examenes de 4º Vehículos Espaciales: ORD-24-25-RESUELTO.pdf

7 páginas

He publicado nuevos apuntes de 4º Vehículos Espaciales: Guía Trazas.pdf

4 páginas

apuntes

-

Exámenes explicados

He publicado nuevos apuntes de 4º Vehículos Espaciales: Exámenes explicados

Ordinario-2024-25.pdf
extra-2024-25.pdf
PEI-2023-24.pdf

He publicado nuevos apuntes de 4º Vehículos Espaciales: Guía Ejercicios FOV y Swath.pdf

2 páginas

¿No entiendes qué coño es el HLAN o cómo sacarlo? Aquí tienes la explicación completa...

3 páginas

He publicado nuevos apuntes de 4º Vehículos Espaciales: Maniobras Orbitales Planetocéntricas.pdf

6 páginas

He publicado nuevos examenes de 4º Vehículos Espaciales: PEI-25-26-RESUELTO.pdf

5 páginas

Documento de Maniobras Interplantetarias 2.0, con correcciones de la versión anterior.

6 páginas

He publicado nuevos apuntes de 4º Vehículos Espaciales: Resolucion-PEI-2025-26.pdf

3 páginas

He publicado nuevos apuntes de 4º Vehículos Espaciales: Guía Completa Eclipses.pdf

7 páginas

He publicado nuevos apuntes de 4º Vehículos Espaciales: problema-12-MOODLE.pdf

2 páginas

He publicado nuevos apuntes de 4º Vehículos Espaciales: problema-9-MOODLE.pdf

1 página

He publicado nuevos ejercicios de 4º Vehículos Espaciales: problemas-moodle-VE.pdf

15 páginas

He publicado nuevos apuntes de 4º Vehículos Espaciales: problema-8-MOODLE.pdf

1 página

He publicado nuevos apuntes de 4º Vehículos Espaciales: problemas-6-y-7-MOODLE.pdf

1 página

He publicado nuevos apuntes de 4º Vehículos Espaciales: problemas-4-y-5-MOODLE.pdf

1 página

He publicado nuevos apuntes de 4º Vehículos Espaciales: problema-3-MOODLE.pdf

1 página

He publicado nuevos apuntes de 4º Vehículos Espaciales: problema-2-MOODLE.pdf

1 página

apuntes

-

RESUMEN VEHÍCULOS ESPACIALES (VA)

He publicado nuevos apuntes de 4º Vehículos Espaciales: RESUMEN VEHÍCULOS ESPACIALES (VA)

TEMA-1-VE.pdf
TEMA-2-VE.pdf
TEMA-3-VE.pdf

He publicado nuevos examenes de 4º Vehículos Espaciales: Test-GMAT-2024-25.pdf

2 páginas

He publicado nuevos examenes de 4º Vehículos Espaciales: RecopilacionTestTeoriaUltimosAnos.pdf

15 páginas

PEI 24-25

7 páginas

apuntes

-

Exámenes Vehículos

He publicado nuevos apuntes de 4º Vehículos Espaciales: Exámenes Vehículos

EXTRA-2021.pdf
EXTRA-2022.pdf
PEI-2016.pdf
PEI-2017-P2.pdf
ORD-2022.pdf

He publicado nuevos apuntes de 4º Vehículos Espaciales: Examenes-23-24.pdf

31 páginas

examenes

-

EXAMENES ENUNCIADOS

He publicado nuevos examenes de 4º Vehículos Espaciales: EXAMENES ENUNCIADOS

2015-PEI.pdf
2016-EO.pdf
2016-PEI.pdf
2017-EE.pdf
2017-EO.pdf
2018-EE.pdf

He publicado nuevos apuntes de 4º Vehículos Espaciales: Anotaciones-IMPORTANTES.pdf

12 páginas

apuntes

-

EXAMENES RESUELTOS

He publicado nuevos apuntes de 4º Vehículos Espaciales: EXAMENES RESUELTOS

2014-EE.pdf
2015-PEI.pdf
2016-EE.pdf
2016-EO.pdf
2017-EE.pdf
2017-EO.pdf

He publicado nuevos examenes de 4º Vehículos Espaciales: VAVEexaordinario23-24solucion.pdf

8 páginas

He publicado nuevos examenes de 4º Vehículos Espaciales: Final-vehiculos-espaciales-2023.pdf

2 páginas

He publicado nuevos examenes de 4º Vehículos Espaciales: Ordinario-vehiculos-espaciales-2023.pdf

2 páginas

He publicado nuevos examenes de 4º Vehículos Espaciales: Extraordinario-vehiculos-espaciales-2022.pdf

2 páginas

He publicado nuevos examenes de 4º Vehículos Espaciales: Extraordinario-vehiculos-espaciales-2023.pdf

2 páginas

He publicado nuevos examenes de 4º Vehículos Espaciales: Ordinario-vehiculos-espaciales-2021.pdf

3 páginas

He publicado nuevos examenes de 4º Vehículos Espaciales: Ordinario-vehiculos-espaciales-2019.pdf

5 páginas

He publicado nuevos examenes de 4º Vehículos Espaciales: Ordinario-vehiculos-espaciales-2022.pdf

3 páginas

He publicado nuevos examenes de 4º Vehículos Espaciales: Final-vehiculos-espaciales-2022.pdf

3 páginas

He publicado nuevos examenes de 4º Vehículos Espaciales: Extraordinario-vehiculos-espaciales-2021.pdf

2 páginas

He publicado nuevos examenes de 4º Vehículos Espaciales: Extraordinario-vehiculos-espaciales-2018.pdf

4 páginas

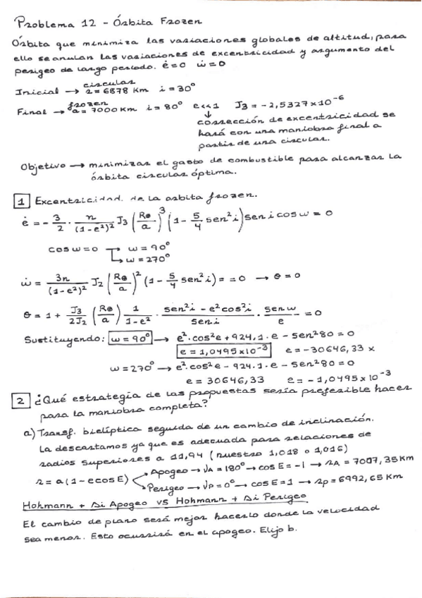
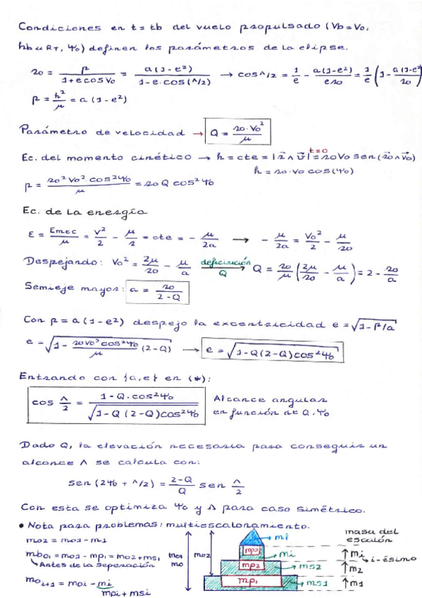
He publicado nuevos ejercicios de 4º Vehículos Espaciales: Problema-12-vehiculos-espaciales.pdf

3 páginas

He publicado nuevos examenes de 4º Vehículos Espaciales: Ordinario-vehiculos-espaciales-2018.pdf

6 páginas

He publicado nuevos ejercicios de 4º Vehículos Espaciales: Problema-9-vehiculos-espaciales.pdf

2 páginas

He publicado nuevos ejercicios de 4º Vehículos Espaciales: Problema-8-vehiculos-espaciales.pdf

2 páginas

He publicado nuevos ejercicios de 4º Vehículos Espaciales: Problema-7-vehiculos-espaciales.pdf

3 páginas

He publicado nuevos ejercicios de 4º Vehículos Espaciales: Problema-3-vehiculos-espaciales.pdf

3 páginas

He publicado nuevos apuntes de 4º Vehículos Espaciales: Diaopositivas-comentadas-orbitas-de-aplicacion-vehiculos-espaciales.pdf

6 páginas

He publicado nuevos apuntes de 4º Vehículos Espaciales: Diaopositivas-comentadas-misiones-vehiculos-espaciales.pdf

7 páginas

He publicado nuevos apuntes de 4º Vehículos Espaciales: Diaopositivas-comentadas-maniobras-vehiculos-espaciales.pdf

9 páginas

He publicado nuevos apuntes de 4º Vehículos Espaciales: Apuntes-vehiculos-espaciales.pdf

15 páginas

He publicado nuevos apuntes de 4º Vehículos Espaciales: Teoria-misiles.pdf

9 páginas

He publicado nuevos ejercicios de 4º Vehículos Espaciales: Ejercicio-de-leyes-de-guiado.pdf

2 páginas

He publicado nuevos ejercicios de 4º Vehículos Espaciales: Problema-balistico.pdf

2 páginas

He publicado nuevos ejercicios de 4º Vehículos Espaciales: Problemas-de-misiles.pdf

5 páginas

He publicado nuevos examenes de 4º Vehículos Espaciales: Parcial-misiles-2024.pdf

2 páginas

He publicado nuevos ejercicios de 4º Vehículos Espaciales: ProblemaLanzamiento-vertical.pdf

1 página

He publicado nuevos examenes de 4º Vehículos Espaciales: Final-misiles-2023.pdf

2 páginas

He publicado nuevos examenes de 4º Vehículos Espaciales: Extraordinario-misiles-2022.pdf

3 páginas