Todo
Ejercicios
Prácticas
chevron_left
chevron_right

practicas

-

PRACTICAS RESUELTAS

He publicado nuevos practicas de 4º Vibraciones Mecánicas: PRACTICAS RESUELTAS

Practica-3.pdf
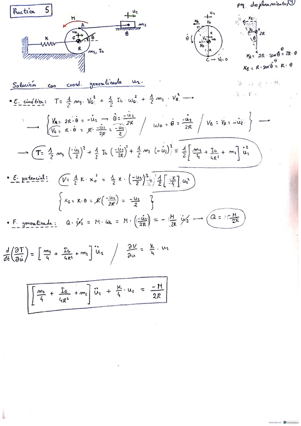
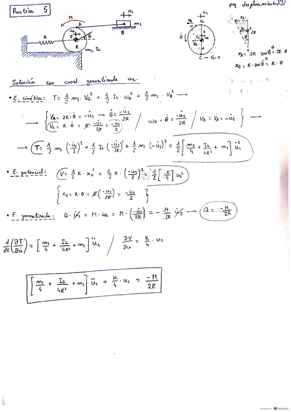
Pract-5-RESUELTA-EXAMEN.pdf
Practica-1.pdf
Practica-6-RESUELTA.pdf
Practica-4.pdf
Practica-2.pdf

ejercicios

-

Ejercicios Propuestos RESUELTOS

He publicado nuevos ejercicios de 4º Vibraciones Mecánicas: Ejercicios Propuestos RESUELTOS

Ejercicios-Propuestos-RESUELTOS.pdf
¡Estás al día!

¡Estás al día!

Has visto todos los archivos