
Grado en Ingeniería Biomédica (DEUSTO)
Bilbao / Vizcaya / Bizkaia
Asignaturas de Grado en Ingeniería Biomédica (DEUSTO)
Asignatura
arrow_downward1º
•
75 posts
2º
•
13 posts
1º
•
30 posts
1º
•
45 posts
2º
•
16 posts
3º
•
4 posts
3º
•
14 posts
3º
•
12 posts
3º
•
6 posts
3º
•
5 posts
1º
•
40 posts
1º
•
33 posts
4º
•
0 posts
3º
•
10 posts
2º
•
19 posts
2º
•
17 posts
1º
•
11 posts
1º
•
33 posts
1º
•
21 posts
3º
•
21 posts
1º
•
21 posts
2º
•
0 posts
3º
•
34 posts
4º
•
0 posts
1º
•
38 posts
2º
•
31 posts
2º
•
5 posts
4º
•
0 posts
Últimas publicaciones de Grado en Ingeniería Biomédica (DEUSTO)
He publicado nuevos apuntes de 3º Biomaterials Science and Engineering: Unit-01-Structure-of-Materials.pdf
He publicado nuevos apuntes de 1º Anatomía y Fisiología para Bioingenieros: Nephro-Urological-System-FISIOLOGIA.pdf
He publicado nuevos apuntes de 1º Anatomía y Fisiología para Bioingenieros: Digestive-system-FISIOLOGIA.pdf
He publicado nuevos apuntes de 1º Anatomía y Fisiología para Bioingenieros: Cardiovascular-System-FISIOLOGIA.pdf
He publicado nuevos apuntes de 1º Anatomía y Fisiología para Bioingenieros: Respiratory-system-FISIOLOGIA.pdf
He publicado nuevos apuntes de 1º Anatomía y Fisiología para Bioingenieros: Skeletal-System-ANATOMIA.pdf
He publicado nuevos apuntes de 1º Anatomía y Fisiología para Bioingenieros: Nephro-Urological-System-ANATOMIA.pdf
He publicado nuevos apuntes de 1º Anatomía y Fisiología para Bioingenieros: Digestive-system-ANATOMIA.pdf
He publicado nuevos apuntes de 1º Anatomía y Fisiología para Bioingenieros: Cardiovascular-System-ANATOMIA.pdf
He publicado nuevos apuntes de 1º Administración de Empresas: TEMA-11-DIRECCION-DE-PERSONAS.pdf
He publicado nuevos apuntes de 1º Administración de Empresas: TEMA-10-INTRODUCCION-A-LA-DIRECCION-FINANCIERA.pdf
He publicado nuevos apuntes de 1º Administración de Empresas: TEMA-9-GESTION-DE-CALIDAD.pdf
He publicado nuevos apuntes de 1º Administración de Empresas: TEMA-8-CONTROL-DE-INVENTARIOS.pdf
He publicado nuevos apuntes de 1º Administración de Empresas: TEMA-7-LOGISTICA.pdf
He publicado nuevos apuntes de 1º Administración de Empresas: TEMA-5-COMERCIAL-Y-MARKETING.pdf
Formulas de Fourier Series, Fourier Transform, Laplace Transform y Z transform
He publicado nuevos apuntes de 2º Systems and Signals for Biomedical Environments: 2.-basics-of-systems.pdf
He publicado nuevos apuntes de 2º Systems and Signals for Biomedical Environments: 1.-basics-of-signals.pdf
Examen ordinaria de genética con el parcial para recuperar. El examen se divide en dos partes, una con short questions y otra tipo test.
He publicado nuevos ejercicios de 2º Mathematical and Computational Methods in Cell and Molecular Biology: exercises.pdf
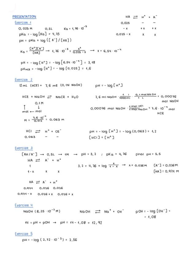
He publicado nuevos ejercicios de 2º Mathematical and Computational Methods in Cell and Molecular Biology: 1.-exercises-pH.pdf
He publicado nuevos apuntes de 2º Mathematical and Computational Methods in Cell and Molecular Biology: 9.-cell-organization-and-signaling.pdf
He publicado nuevos apuntes de 2º Mathematical and Computational Methods in Cell and Molecular Biology: 8.-cell-membrane.pdf
He publicado nuevos apuntes de 2º Mathematical and Computational Methods in Cell and Molecular Biology: 10.-metabolism-and-precision-medicine.pdf
He publicado nuevos apuntes de 2º Mathematical and Computational Methods in Cell and Molecular Biology: 4.-proteins.pdf
He publicado nuevos apuntes de 2º Mathematical and Computational Methods in Cell and Molecular Biology: 6.-introduction-to-cell-biology.pdf
He publicado nuevos apuntes de 2º Mathematical and Computational Methods in Cell and Molecular Biology: 5.-protein-modeling-and-computational-methods.pdf
He publicado nuevos apuntes de 2º Mathematical and Computational Methods in Cell and Molecular Biology: 7.-celular-components.pdf
He publicado nuevos apuntes de 2º Mathematical and Computational Methods in Cell and Molecular Biology: 3.-nucleic-acids.pdf
He publicado nuevos apuntes de 2º Mathematical and Computational Methods in Cell and Molecular Biology: 2.-lipids-and-carbohydrates.pdf
He publicado nuevos apuntes de 2º Mathematical and Computational Methods in Cell and Molecular Biology: 1.-aqueous-environment-of-cell.pdf
He publicado nuevos apuntes de 2º Statistics: 7.-hypothesis-testing.pdf
He publicado nuevos apuntes de 2º Statistics: 5.-models-for-continuous-random-variables.pdf
He publicado nuevos apuntes de 2º Statistics: 4.-models-for-discrete-random-variables.pdf
He publicado nuevos apuntes de 2º Statistics: 3.-random-variables.pdf
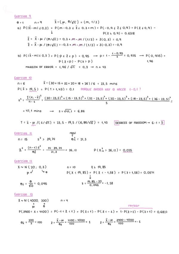
He publicado nuevos ejercicios de 2º Statistics: 3.-random-variables-exercises.pdf
He publicado nuevos ejercicios de 2º Statistics: 2.-probability-exercises.pdf
He publicado nuevos apuntes de 2º Statistics: 1.-descriptive-statistics.pdf
He publicado nuevos apuntes de 1º Química General: estructura-de-la-materia.pdf
He publicado nuevos apuntes de 1º Química General: principios-basicos.pdf
He publicado nuevos ejercicios de 1º Fundamentos Físicos de Mecánica: ejercicios-termo.pdf
He publicado nuevos apuntes de 1º Fundamentos Físicos de Mecánica: termodinamica.pdf
He publicado nuevos apuntes de 1º Fundamentos Físicos de Mecánica: choques-solidos-rigidos.pdf