
Sube tus apuntes
arrow_forwardAsignaturas de EAU País Vasco - Prueba de Acceso a la Universidad
Asignatura
arrow_downward57 posts
99 posts
22 posts
417 posts
58 posts
6 posts
37 posts
27 posts
87 posts
260 posts
28 posts
15 posts
77 posts
19 posts
8 posts
1144 posts
349 posts
86 posts
83 posts
36 posts
623 posts
111 posts
262 posts
195 posts
Últimas publicaciones de EAU País Vasco - Prueba de Acceso a la Universidad
Apuntes de Nietszche, Marx y Freud (maestros de la sospecha) en euskera adaptado al temario de la PAU
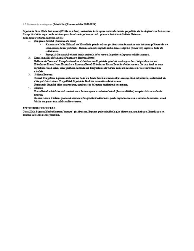
Apuntes del Frankismo tardío (2da pte) (1959-75) en euskera. Apuntes adaptados para la Evau
Apuntes de la primera parte del Frankismo (1939-59) en euskera. Apuntes adaptados para la Evau
He publicado nuevos apuntes de Francés
KIMIKA - LOTURAK ETA HIBRIDAZIOA BGEPAT Teoria Atomo zentralaren balentzia-geruzako elektroi-pareek (lotzaileak zein ez lotzaileak) elkar aldarazten dutenez, atomoaren inguruan ahalik eta urrunen kokatzen dira espazioan, aldarapen-indarrak minimizatzeko eta molekulari egonkortasun handiena emateko. Adibidez: AlCl3-ren geometria arrazoitzeko Aluminioak (Al) 3 elektroi ditu balentzia-geruzan eta hiru kloroekin partekatzen ditu. Beraz, atomo zentralaren inguruan 3 elektroi-pare lotzaile daude (0 ez lotzaile). BGEPATen arabera, 3 elektroi-talde horiek elkarrengandik ahalik eta urrunen kokatzeko, geometria trigonal laua osatzen dute. Honela, angeluak 120º-koak dira, hiruren arteko aldarapena minimizatzen duen distantzia handiena delako.
RESUMEN PARA SELE Infecciones Enfermedades infecciosas Sistema inmunitario Respuesta inmunitaria innata Inmunidad Alteraciones del sistema inmunitario Trasplantes de órganos
RESUMEN PARA SELE Microorganismos. Características y clasificación Ecología microbiana Biotecnología Ingeniería genética Aplicaciones de la tecnología del ADN recombinante
RESUMEN PARA SELE Naturaleza molecular de los genes Expresión génica Regulación de la expresión génica Mutaciones Carcinogénesis
RESUMEN PARA SELE Tipos de anabolismo Anabolismo fotoautótrofo Fotosíntesis de las bacterias Importancia biológica de la fotosíntesis Fotorrespiración Factores que influyen en la intensidad fotosintética Anabolismo quimioautótrofo Anabolismo quimioheterót
RESUMEN PARA SELE Nutrición celular y metabolismo Catabolismo de los glúcidos (glucólisis, ciclo de krebs, cadena respiratoria y fosforilación oxidativa) Catabolismo de los lípidos
RESUMEN PARA SELE Núcleo interfásico Núcleo en división: los cromosomas Ciclo celular Mitosis Meiosis Comparación entre mitosis y meiosis Ciclos biológicos
RESUMEN PARA SELE Citoplasma Citoesqueleto Retículo endoplasmático Aparato de Golgi Lisosomas Microcuerpos: glioxisomas y peroxisomas Vacuolas Orgánulos generadores de energía (mitocondria y plastos) Ribosomas Centrosoma
RESUMEN PARA SELE Teoría celular Célula procariota Célula eucariota Membrana plasmática o celular Transporte a través de las membranas Cubiertas celulares Principales tinciones en microscopía óptica Uniones intercelulares animales
He publicado nuevos apuntes de Lengua Castellana y Literatura II: APUNTES-LA-CASA-DE-BERNARDA-ALBA.docx
He publicado nuevos apuntes de Lengua Castellana y Literatura II: POEMAS-ANTONIO-MACHADO.docx
He publicado nuevos apuntes de Lengua Castellana y Literatura II: PRINCIPALES-CARACTERISTICAS-DE-LAS-OBRAS.docx
- Sofistas - Sócrates - Platón - Tomas de Aquino - René Descartes - Nietzsche - Karl Marx - Hannah Arendt
He publicado nuevos apuntes de Lengua Castellana y Literatura II: Literatura-2024.pdf
He publicado nuevos apuntes de Lengua Castellana y Literatura II: Lengua-2024.pdf
He publicado nuevos apuntes de Lengua Castellana y Literatura II: Contextos-2024.pdf
apuntes
-
Biología 2025 en castellano
He publicado nuevos apuntes de Biología: Biología 2025 en castellano
apuntes
-
Biologia 2024 euskaraz
He publicado nuevos apuntes de Biología: Biologia 2024 euskaraz
Ejercicios competenciales o complicados que han salido en todas las comunidades autónomas en la PAU.
Ejercicios competenciales o complicados que han salido en todas las comunidades autónomas en la PAU.
Ejercicios competenciales o complicados que han salido en todas las comunidades autónomas en la PAU.
Ejercicios competenciales o complicados que han salido en todas las comunidades autónomas en la PAU.
Ejercicios competenciales o complicados que han salido en todas las comunidades autónomas en la PAU.
Todo lo que hace falta saber para el examen de inglés de la PAU, con ejemplos y trucos.
Apuntes literatura | 13,43 en la EvAU | 10 en 2° bach
Apuntes completos de todos los temas de literatura que entran en esta convocatoria de la EvAU. Revisados por profesores y corregidos. No utilicé ningún material de literatura adicional a estos apuntes para el año escolar y la EvAU. 10 en lengua de 2º bach | 10 en el examen de lengua de la EvAU
Epígrafes Bloques 1-4 | 13,43 en la EvAU | Mención de honor en 2° bach
Todos los epígrafes para esta convocatoria de la EvAU. Revisados por profesores y corregidos. No utilicé ningún material adicional a estos apuntes para el año escolar y la EvAU. 10 con mención de honor en historia de 2º bach
Temario completo biología | 13,43 en la EvAU | 10 en 2º bach
Todo el temario de biología de segundo de bachillerato y EvAU. No utilicé prácticamente ningún material adicional a estos apuntes para el año escolar y la EvAU. 10 en biología de 2º bach
Bloques 5-8 | 13,43 en la EvAU | Mención de honor en 2º bach
Bloques 5, 6, 7 y 8 para esta convocatoria de la EvAU. Revisados por profesores y corregidos. No utilicé prácticamente ningún material adicional a estos apuntes para el año escolar y la EvAU. 10 con mención de honor en historia de 2º bach
Bloques 9-12 | 13,43 en la EvAU | Mención de honor en 2º bach
Bloques 9, 10, 11 y 12 para esta convocatoria de la EvAU. Revisados por profesores y corregidos. No utilicé prácticamente ningún material adicional a estos apuntes para el año escolar y la EvAU. 10 con mención de honor en historia de 2º bach
¿Quieres sacar notazas en Filosofía pero te da pereza hacer los apuntes? Te dejo estos apuntes del Tema EGUNGO GIZARTEA ETA XXI. MENDEKO ERRONKAK: GLOBALIZAZIOA, KAPITALISMOA, EKOLOGISMOA, GENERO-ALDERDIA ETA MUNDU BIRTUALA para sacar notazas en tus exáme
¿Quieres sacar notazas en Filosofía pero te da pereza hacer los apuntes? Te dejo estos apuntes del Tema FEMINISMOA para sacar notazas en tus exámenes del curso y para la PAU. INFO. IMPORTANTE: Están en euskera
¿Quieres sacar notazas en Filosofía pero te da pereza hacer los apuntes? Te dejo estos apuntes del Tema EXISTENTZIALISMOA para sacar notazas en tus exámenes del curso y para la PAU. INFO. IMPORTANTE: Están en euskera
¿Quieres sacar notazas en Filosofía pero te da pereza hacer los apuntes? Te dejo estos apuntes del Tema ARAZO FILOSOFIKOAK HIZKUNTZAN para sacar notazas en tus exámenes del curso y para la PAU. INFO. IMPORTANTE: Están en euskera
He publicado nuevos apuntes de Apuntes Variados: Bases-teoricas-de-la-enfermeria-1ero-enfermeria-UPV.pdf
apuntes
-
METABOLISMO UPV 1ero enfermería
He publicado nuevos apuntes de Apuntes Variados: METABOLISMO UPV 1ero enfermería
He publicado nuevos apuntes de Apuntes Variados: Ciencias psicosociales aplicadas a los cuidados de la salud 1ero enfermería UPV.pdf