Grado en Ingeniería en Tecnología Industrial (EHU)
Bilbao / Vizcaya / Bizkaia
Sube tus apuntes
arrow_forwardAsignaturas de Grado en Ingeniería en Tecnología Industrial (EHU)
Asignatura
arrow_downward1º
•
117 posts
2º
•
114 posts
1º
•
68 posts
1º
•
8 posts
2º
•
81 posts
3º
•
39 posts
3º
•
47 posts
4º
•
0 posts
1º
•
173 posts
4º
•
23 posts
3º
•
28 posts
4º
•
1 posts
4º
•
7 posts
4º
•
0 posts
4º
•
40 posts
4º
•
0 posts
4º
•
0 posts
2º
•
50 posts
3º
•
77 posts
3º
•
35 posts
4º
•
0 posts
2º
•
41 posts
4º
•
10 posts
4º
•
5 posts
2º
•
78 posts
1º
•
80 posts
2º
•
70 posts
1º
•
7 posts
1º
•
34 posts
4º
•
0 posts
4º
•
1 posts
4º
•
0 posts
2º
•
66 posts
2º
•
77 posts
2º
•
62 posts
4º
•
0 posts
4º
•
9 posts
4º
•
0 posts
4º
•
13 posts
1º
•
111 posts
4º
•
10 posts
4º
•
15 posts
3º
•
32 posts
4º
•
2 posts
3º
•
49 posts
2º
•
61 posts
3º
•
57 posts
4º
•
0 posts
Últimas publicaciones de Grado en Ingeniería en Tecnología Industrial (EHU)
Subo las soluciones con las explicaciones del examen del 1 de junio de 2023, el enunciado lo ha subido otra persona a wuolah anteriormente.
He publicado nuevos examenes de 3º Análisis y Funcionamiento de Máquinas Eléctricas: Mayo-2025.pdf
He publicado nuevos examenes de 3º Análisis y Funcionamiento de Máquinas Eléctricas: Mayo2025.pdf
He publicado nuevos apuntes de 2º Termodinámica: Ejercicios-tema-5-termodinamica.pdf
He publicado nuevos examenes de 1º Informática: 2025-06-20CoilsenDEF.pdf
He publicado nuevos examenes de 1º Informática: 2024-05-22ProgEngFormulRestaurantCv3.pdf
He publicado nuevos apuntes de 2º Termodinámica: Tema-4-ejercicios-termodinamica.pdf
EDOs de orden superior Superresumen teoría + métodos de resolución con ejemplos y ejercicios de exámenes recientes
Problemas de Contorno Superresumen teoría + métodos de resolución con ejemplos y ejercicios de exámenes recientes.
He publicado nuevos apuntes de 3º Ampliación de Métodos Numéricos: 2.-GAIA-ZENBAKIZKO-INTEGRAZIOA.pdf
practicas
-
THERMOGRAPH
He publicado nuevos practicas de 2º Termodinámica: THERMOGRAPH
Es solo la primera mitad. El resto las iré haciendo y las subiré también.
apuntes
-
MATERIALES
Asignatura completa, con examenes de varios años resueltos, toda la teoria necesaria, tests de examenes tambien resueltos y ejercicios practicos del libro resueltos.
apuntes
-
Ampli de fisica
Teoria y ejercicios de ampli de fisica
He publicado nuevos apuntes de 2º Termodinámica: Ejercicios-Tema-2-termo.pdf
He publicado nuevos apuntes de 2º Termodinámica: Ejercicios-tema-3-termo.pdf
apuntes
-
kalkulo 2 zatia
He publicado nuevos apuntes de 1º Cálculo: kalkulo 2 zatia
apuntes
-
kalkulu 1 zatia
He publicado nuevos apuntes de 1º Cálculo: kalkulu 1 zatia
ejercicios
-
fisika aurreratua liburuko ariketa ebatzitak
He publicado nuevos ejercicios de 1º Ampliación de Física: fisika aurreratua liburuko ariketa ebatzitak
He publicado nuevos apuntes de 1º Ampliación de Física: fisika-aurreratua-formulak.pdf
examenes
-
ohiko azterketak
He publicado nuevos examenes de 1º Ampliación de Física: ohiko azterketak
examenes
-
fisika ez-ohikoak
He publicado nuevos examenes de 1º Ampliación de Física: fisika ez-ohikoak
ejercicios
-
fisika liburuko ariketak ebatzita
He publicado nuevos ejercicios de 1º Física: fisika liburuko ariketak ebatzita
examenes
-
fisika ohikoak
He publicado nuevos examenes de 1º Física: fisika ohikoak
examenes
-
fisika ez-ohikoak
He publicado nuevos examenes de 1º Física: fisika ez-ohikoak
practicas
-
Kontabilitatea
He publicado nuevos practicas de 2º Economía: Kontabilitatea
ejercicios
-
ekonomia ariketak
He publicado nuevos ejercicios de 2º Economía: ekonomia ariketak
apuntes
-
ekonomia apunteak
He publicado nuevos apuntes de 2º Economía: ekonomia apunteak
apuntes
-
apuntes dibujo
He publicado nuevos apuntes de 1º Ampliación de Gráficos de Ingeniería: apuntes dibujo
examenes
-
Algebra ohikoak (2.zatia) ebatzita
He publicado nuevos examenes de 1º Álgebra Lineal: Algebra ohikoak (2.zatia) ebatzita
examenes
-
algebra partzialak ebatzita
He publicado nuevos examenes de 1º Álgebra Lineal: algebra partzialak ebatzita
ejercicios
-
Algebra liburuko ariketa ebatzitak
He publicado nuevos ejercicios de 1º Álgebra Lineal: Algebra liburuko ariketa ebatzitak
ejercicios
-
Seminarios RESUELTOS
Los ejercicios de los seminarios son los mismos año tras año. por aquí iré dejando las resoluciones
He publicado nuevos ejercicios de 3º Ampliación de Métodos Numéricos: Ejercicios.pdf
He publicado nuevos examenes de 3º Análisis y Funcionamiento de Máquinas Eléctricas: Test-de-teoria-SINCRONAS-25-26.pdf
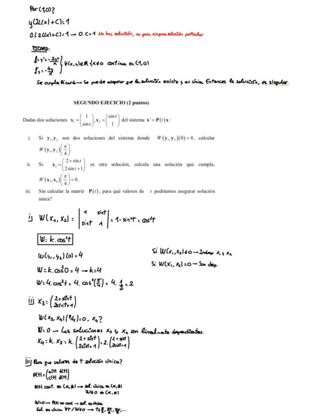
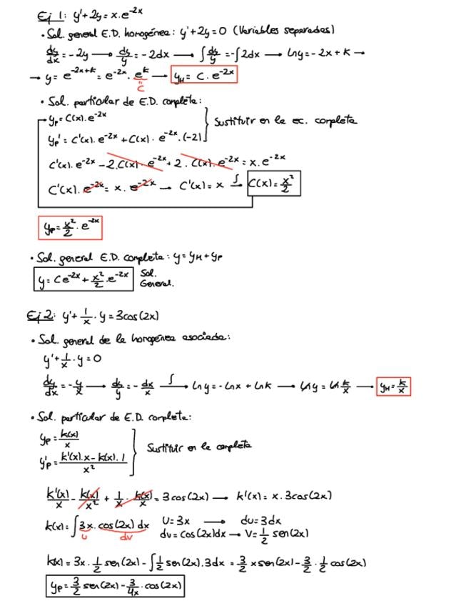
He publicado nuevos examenes de 2º Ampliación de Ecuaciones Diferenciales: Resolucion-2023-Mayo-MATHEMATICA.pdf
He publicado nuevos apuntes de 3º Ampliación de Métodos Numéricos: Tema-3--EDO-problema-valor-inicial.pdf
apuntes
-
APUNTES ELECTROTECNIA
He publicado nuevos apuntes de 2º Electrotecnia: APUNTES ELECTROTECNIA
He publicado nuevos examenes de 2º Ampliación de Ecuaciones Diferenciales: MATHEMATICA-RESOLUTIONS.pdf
examenes
-
Mathematica
He publicado nuevos examenes de 2º Ampliación de Ecuaciones Diferenciales: Mathematica
He publicado nuevos apuntes de 2º Ampliación de Ecuaciones Diferenciales: 5.-Linear-boundary-conditions-of-2o-order-linear-ODE.pdf
He publicado nuevos apuntes de 2º Ampliación de Ecuaciones Diferenciales: 6.Partial-differential-equations.pdf
He publicado nuevos ejercicios de 3º Elasticidad y Resistencia de Materiales: EJ-T7.pdf
He publicado nuevos ejercicios de 3º Elasticidad y Resistencia de Materiales: EJ-T8.pdf
He publicado nuevos ejercicios de 3º Elasticidad y Resistencia de Materiales: EJ-T10.pdf
