
Asignaturas de Grado en Química (EHU)
Asignatura
arrow_downward1º
•
22 posts
2º
•
32 posts
3º
•
2 posts
4º
•
23 posts
4º
•
13 posts
4º
•
13 posts
3º
•
7 posts
3º
•
8 posts
2º
•
3 posts
2º
•
4 posts
2º
•
9 posts
1º
•
50 posts
1º
•
21 posts
3º
•
25 posts
4º
•
9 posts
1º
•
27 posts
1º
•
25 posts
1º
•
27 posts
4º
•
0 posts
1º
•
33 posts
4º
•
16 posts
4º
•
12 posts
2º
•
22 posts
3º
•
30 posts
4º
•
1 posts
4º
•
1 posts
3º
•
1 posts
2º
•
41 posts
3º
•
34 posts
1º
•
44 posts
1º
•
22 posts
2º
•
38 posts
3º
•
36 posts
2º
•
61 posts
3º
•
21 posts
4º
•
10 posts
4º
•
16 posts
4º
•
0 posts
Últimas publicaciones de Grado en Química (EHU)
apuntes
-
Kimika Orokorra I
Apuntes de 1.kurso del grado de kimika en euskera, todos los temas menos los de formulación.
He publicado nuevos examenes de 1º Matemáticas I: examenes-ejercicios.pdf
He publicado nuevos ejercicios de 1º Matemáticas I: seminario-de-matematicas-quimica.pdf
Ejercicios de todos los temas de la asignatura matemáticas II y estadística
He publicado nuevos examenes de 1º Matemáticas I: examen-extraordinaria-2025.pdf
He publicado nuevos ejercicios de 1º Matemáticas I: optimizacion-ejercicio-examen-ordinaria-2025.pdf
Examen parcial 2025 de la primera parte de matemáticas II y estadística
He publicado nuevos examenes de 1º Matemáticas II y Estadística: maiatza-2025.pdf
He publicado nuevos examenes de 1º Matemáticas I: urtarrilaohikoa24-25ebatzita.pdf
He publicado nuevos ejercicios de 2º Química Orgánica I: Alkanoen-erreakzioak-2.-Ariketak.pdf
He publicado nuevos apuntes de 2º Química Orgánica I: Konformazioa-analisia-ariketak.pdf
He publicado nuevos apuntes de 2º Química Orgánica I: 0-formulazioa-ariketak1..pdf
He publicado nuevos apuntes de 2º Química Orgánica I: 1ERREPASO-ARIKETAK.-Organikoa.pdf
He publicado nuevos apuntes de 2º Química Orgánica I: 3-Gai3Ariketak.-Alkil-haluroak.pdf
He publicado nuevos apuntes de 2º Química Orgánica I: Estereoisomeria-ariketak.pdf
He publicado nuevos apuntes de 2º Química Orgánica I: 6-Gai6Ariketak.-Aminak.pdf
He publicado nuevos apuntes de 2º Química Orgánica I: Ziklohexano.-Konformazioa.pdf
He publicado nuevos apuntes de 2º Química Orgánica I: 3.-Gaia-Haloalkanoak-1.pdf
He publicado nuevos apuntes de 2º Química Orgánica I: Gai9Ariketak.-Arenoak-1.pdf
He publicado nuevos apuntes de 2º Química Orgánica I: 5-Gai52.-Eterrak-eta-oxiranoak.pdf
He publicado nuevos apuntes de 2º Química Orgánica I: 6-Gai62.-Aminak.pdf
He publicado nuevos apuntes de 2º Química Orgánica I: 3.-Gaia-Haloalkanoak-2.pdf
He publicado nuevos ejercicios de 2º Química Orgánica I: Erreakzio-organikoak-ariketak.pdf
He publicado nuevos apuntes de 2º Química Orgánica I: Gai12.-Konposatu-karbonilikoak-2.pdf
He publicado nuevos apuntes de 2º Química Orgánica I: Gai103.-Arenoak-2.pdf
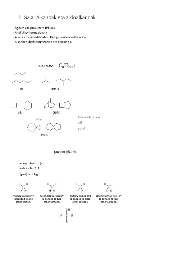
He publicado nuevos apuntes de 2º Química Orgánica I: 2.-Gaiko-irudiak-Alkanoak-eta-zikloalkanoak.pdf
He publicado nuevos apuntes de 2º Química Orgánica I: Gai13.-Konposatu-karbonilikoak-3.pdf
He publicado nuevos ejercicios de 2º Química Orgánica I: Gai78Ariketak.-Alkanoak-eta-alkinoak.pdf
He publicado nuevos ejercicios de 2º Química Orgánica I: 4-Gai4Ariketak2.-Alkoholak.pdf
He publicado nuevos apuntes de 2º Química Orgánica I: 5-Gai5Ariketak2.-Eterrak-eta-oxiranoak.pdf
He publicado nuevos apuntes de 2º Química Orgánica I: Gai113.-Konposatu-karbonilikoak-3.pdf
He publicado nuevos ejercicios de 2º Química Orgánica I: 12-Gai12Ariketak.-Konposatu-karbonilikoak-2.pdf
He publicado nuevos ejercicios de 2º Química Orgánica I: 13-Gai13Ariketak.-Konposatu-karbonilikoak-3.pdf
He publicado nuevos apuntes de 3º Química Física II: APUNTES-QUIFI-II-2o-CUATRI.pdf
Los apuntes están hechos con apuntes de castellano, euskera y libros
Teoría para hacer ejercicios de técnicas NO destructivas
He publicado nuevos apuntes de 3º Quimica Organica II: Tema-2.-Determinacion-estructural-UV18f1df5a54fa4932128f3902457797f3.pdf
apuntes
-
Apuntes kimika 2
He publicado nuevos apuntes de 1º Química General I: Apuntes kimika 2