
Tu colegio ya está en Wuolah
Sube documentos y conecta con tus compañeros
Sube tus apuntes
arrow_forwardAsignaturas de Electromedicina Clínica
Asignatura
arrow_downward9 posts
Últimas publicaciones de Electromedicina Clínica
He publicado nuevos apuntes de Tecnología sanitaria en el ámbito clínico
He publicado nuevos apuntes de Sistemas electrónicos y fotónicos: Tema-1.-Introduccion-a-la-electronica.pdf
He publicado nuevos apuntes de Sistemas de monitorización, registro y cuidados críticos: Tema-1.-Mesa-de-operaciones.pdf
He publicado nuevos apuntes de Tecnología sanitaria en el ámbito clínico: Tema-6.-Sistema-inmune.pdf
He publicado nuevos apuntes de Tecnología sanitaria en el ámbito clínico: Tema-5. Aparato cardiorrespiratorio.pdf.pdf
He publicado nuevos apuntes de Sistemas electrónicos y fotónicos: Tema1-Magnitudes-Electricas.pdf
apuntes
-
Principios de CCD
He publicado nuevos apuntes de Sistemas de radiodiagnóstico, radioterapia e imagen médica: Principios de CCD
He publicado nuevos apuntes de Sistemas de radiodiagnóstico, radioterapia e imagen médica: Teoria-Fuente-de-alimentacion.pdf
He publicado nuevos apuntes de Sistemas de radiodiagnóstico, radioterapia e imagen médica: El-tubo-de-rayos-X.pdf
apuntes
-
RAYOS X
hola!, todo esto son apuntes sobre los rayos x del CFGS de Electromedicina Clínica, espero que os sirvan de ayuda...???
He publicado nuevos apuntes de Sistemas de radiodiagnóstico, radioterapia e imagen médica: Multiplicador-de-tension.pdf
apuntes
-
El osciloscopio y el generador de funciones
He publicado nuevos apuntes de Sistemas de radiodiagnóstico, radioterapia e imagen médica: El osciloscopio y el generador de funciones
He publicado nuevos apuntes de Sistemas electromecánicos y de fluidos: UNIDADES.pdf
He publicado nuevos ejercicios de Sistemas electromecánicos y de fluidos: Actividades-2-sist.electromecanicos-y-de-fluidos.pdf
He publicado nuevos ejercicios de Sistemas electromecánicos y de fluidos: Actividades-sist.electromecanicos-y-de-fluidos.pdf
He publicado nuevos apuntes de Sistemas de radiodiagnóstico, radioterapia e imagen médica: Bloque-1.-1..pdf
He publicado nuevos apuntes de Sistemas de radiodiagnóstico, radioterapia e imagen médica: desintegracion-radiactiva.pdf
He publicado nuevos apuntes de Sistemas de radiodiagnóstico, radioterapia e imagen médica: SISTEMA-DE-RADIOLOGIA-DIGITAL.pdf
He publicado nuevos apuntes de Tecnología sanitaria en el ámbito clínico: Tema-4.-Introduccion-a-la-anatomia.pdf
He publicado nuevos apuntes de Sistemas de radiodiagnóstico, radioterapia e imagen médica: el-atomo.pdf
He publicado nuevos apuntes de Sistemas de radiodiagnóstico, radioterapia e imagen médica: Estructura-atomica.pdf
He publicado nuevos apuntes de Sistemas electromecánicos y de fluidos: Neumatica-ventilador-mecanico.pdf
He publicado nuevos ejercicios de Sistemas electrónicos y fotónicos: Triangulos-de-potencias.pdf.pdf
He publicado nuevos ejercicios de Sistemas electrónicos y fotónicos: Tema-2-condensadores-i-bobinas.pdf.pdf
He publicado nuevos apuntes de Instalaciones Eléctricas: Tema-2-Instalaciones-basicas.pdf
He publicado nuevos apuntes de Instalaciones Eléctricas: Tema-1-Conocimientos-sobre-herramientas-y-conductores.pdf
He publicado nuevos apuntes de Sistemas electrónicos y fotónicos: Apuntes-tema-1..pdf
He publicado nuevos apuntes de Sistemas de monitorización, registro y cuidados críticos: PREVENCION-DE-RIESGOS-SEGURIDAD-Y-PROTECCION-MEDIOAMBIENTAL.pdf
He publicado nuevos apuntes de Sistemas electromecánicos y de fluidos: automatizacion-neumatica.pdf
He publicado nuevos apuntes de Sistemas electromecánicos y de fluidos: Tema-1.-Introduccion-a-las-valvulas.pdf
He publicado nuevos apuntes de Tecnología sanitaria en el ámbito clínico: Tema-3.-Riesgos-en-el-entorno-del-paciente.pdf
He publicado nuevos apuntes de Tecnología sanitaria en el ámbito clínico: Tema-1.-Organizacion-del-sistema-sanitario.pdf
He publicado nuevos apuntes de Instalaciones Eléctricas: Tema-0-Tema-1.-Electricidad.pdf
fluidsim electroneumática principiantes. Válvula monoestable. Motor neumático
Ejercicios resueltos con temporizadores en electroneumática. Fluidsim
Ciclo automático de un cilindro de simple efecto con un pulsador de marcha y otro de paro. (S1 Y S2)
Ejercicios resueltos. Paso a paso máximo, paso a paso mínimo. Mono estables, biestables
ANALYZE AND UNDERSTAND THE USE OF FIBER OPTIC EN MEDICAL DEVICES
PRACTICA MODULACION PWM EJERCICIO CON UN VENTILADOR DE PC
CONTROLADOR PID EJERCICIO EXPLICACIÓN EN INCUBADORAS Y HORNOS DE SECADO
trabajos
-
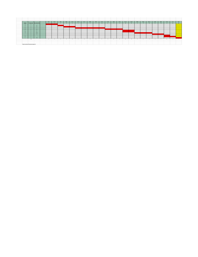
Proyecto de planificación GANTT
He publicado nuevos trabajos de Gestión del montaje y mantenimiento de sistemas de electromedicina: Proyecto de planificación GANTT
Bueno yo subo los apuntes y resúmenes que hago durante el curso. Espero que os sirvan! 🫶🏻