
Asignaturas de Imagen para el Diagnóstico y Medicina Nuclear
Asignatura
arrow_downward1047 posts
524 posts
102 posts
167 posts
675 posts
566 posts
352 posts
347 posts
453 posts
Últimas publicaciones de Imagen para el Diagnóstico y Medicina Nuclear
He publicado nuevos apuntes de Empresa e Iniciativa Emprendedora: EMPLEABILIDAD-I-TEMA-2-RA2-PRL.pdf
He publicado nuevos apuntes de Empresa e Iniciativa Emprendedora: EMPLEABILIDAD-I-TEMA-2-RA2-PRIMEROS-AUXILIOS.pdf
He publicado nuevos apuntes de Empresa e Iniciativa Emprendedora: EMPLEABILIDAD-I-TEMA-5-RA5.pdf
He publicado nuevos apuntes de Empresa e Iniciativa Emprendedora: EMPLEABILIDAD-I-TEMA-4-RA4.pdf
He publicado nuevos apuntes de Empresa e Iniciativa Emprendedora: EMPLEABILIDAD-I-TEMA-3-RA3.pdf
apuntes
-
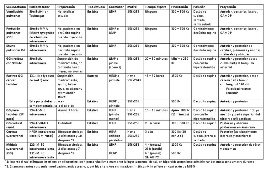
Técnicas de Medicina Nuclear
He publicado nuevos apuntes de Técnicas de imagen en medicina nuclear: Técnicas de Medicina Nuclear
Subidas actividades de Protección Radiológica de los temas 3 y 4.
Actividades tema 3. Protección radiológica. Efectos deterministas y estocásticos.
Actividades del tema 4 de protección radiológica relacionadas con el Real Decreto 1029 del 2022.
He publicado nuevos apuntes de Anatomía por la Imagen: ANATOMIA.-TEMA-3.pdf
Protección radiológica tema 1,2,3, y 4 en mi perfil.
Anatomía tema 1,2,3 y 4 en mi perfil.
He publicado nuevos apuntes de Empresa e Iniciativa Emprendedora: Tema-2-Itinerario-Para-La-Empleabilidad-parte-1.pdf
Imagen para el diagnóstico y medicina nuclear
Hola alguien tiene las presentaciones en PDF de los resúmenes por unidades de Cesur? Gracias!!!
TEST Q SUELEN CAER SI O SI EN EL EXAMEN (TEMA 1)
He publicado nuevos apuntes de Técnicas de Radiología Simple: Tema-11.-Tecnicas-de-exploracion-radiologica-de-torax.pdf
He publicado nuevos apuntes de Técnicas de Radiología Simple: Tema-10.-Tecnicas-de-exploracion-radiologica-del-sacro-y-el-coxis.pdf
He publicado nuevos apuntes de Técnicas de Radiología Simple: Tema-9.-Tecnicas-de-exploracion-radiologica-de-la-columna-vertebral-dorsal-y-lumbar.pdf
apuntes
-
CURSO ENTERO DE RADIOFARMACIA
Os dejo todos los temas, del 1 al 15, hechos por mi. Son de los apuntes de MEDAC.
He publicado nuevos apuntes de Técnicas de Radiofarmacia: Tema-15.-Sistemas-de-control-y-recogida-de-residuos.-Emergencias-en-una-UTM.pdf
He publicado nuevos apuntes de Técnicas de Radiofarmacia: Tema-14.-Unidades-de-terapia-metabolica-UTM.pdf
He publicado nuevos apuntes de Técnicas de Radiofarmacia: Tema-13.-Tratamiento-del-cancer-diferenciado-de-tiroides.-Otros-tratamientos.pdf
He publicado nuevos apuntes de Atención al Paciente: SISTEMA-SANITARIO-ESPANOL-Y-CATALAN.pdf
He publicado nuevos apuntes de Atención al Paciente: UNIDADES-DE-RADIODIGNOSTICO-MEDICINA-NUCLEAR-Y-RADIOTERAPIA.pdf
He publicado nuevos apuntes de Atención al Paciente: DOCUMENTACION-SANITARIA-Y-NO-SANITARIA.pdf
He publicado nuevos apuntes de Fundamentos Físicos y Equipos: RADIACIONES-Y-ONDAS.pdf
He publicado nuevos apuntes de Técnicas de Radiología Simple: RADIOLOGIA-CONVENCIONAL-PARAMETROS.pdf
He publicado nuevos apuntes de Técnicas de Radiología Simple: TECNICAS-DE-RADIOLOGIA.pdf
He publicado nuevos apuntes de Técnicas de Radiología Simple: PREPARACION-DE-UN-ESTUDIO-DE-RADIOLOGIA-SIMPLE.pdf
He publicado nuevos apuntes de Técnicas de Radiología Simple: INTRODUCCION.pdf
He publicado nuevos apuntes de Protección Radiológica: PRINCIPIOS-DE-LA-PROTECCION-RADIOLOGICA.pdf
He publicado nuevos apuntes de Atención al Paciente: FUNCIONES-RADIODIAGNOSTICO.pdf
He publicado nuevos apuntes de Atención al Paciente: PROTOCOLOS-DE-IDENTIFICACION-CITACION-Y-REGISTRO.pdf
He publicado nuevos apuntes de Técnicas de Radiofarmacia: Tema-12.-La-radiosinoviortesis.-Tratamiento-del-hipertiroidismo-con-yodo-131.pdf
He publicado nuevos apuntes de Técnicas de Radiofarmacia: Tema-11.-Introduccion-al-tratamiento-con-radioisotopos.-El-dolor-metastasico-oseo.pdf
apuntes
-
CURSO ENTERO TC Y ECOGRAFÍA
Os dejo todos los temas, del 1 al 15, hechos por mi. Son de los apuntes de MEDAC.
apuntes
-
CURSO ENTERO DE RADIOLOGÍA ESPECIAL
Os dejo todos los temas, del 1 al 15, hechos por mi. Son de los apuntes de MEDAC.
apuntes
-
CURSO ENTERO DE MEDICINA NUCLEAR
Os dejo todos los temas, del 1 al 15, hechos por mi. Son de los apuntes de MEDAC.
apuntes
-
CURSO ENTERO RESONANCIA MAGNÉTICA
Os dejo todos los temas, del 1 al 15, hechos por mi. Son de los apuntes de MEDAC.
apuntes
-
PROYECCIONES R.SIMPLE 2ª EVALUACIÓN
Os dejo una tabla con las proyecciones de la columna dorsal, lumbar, el sacro, el coxis, el tórax, el abdomen, de la cabeza, además de la cabeza a nivel facial y mandibular.
He publicado nuevos apuntes de Técnicas de Imagen por Resonancia Magnética: Tema-15.-RM-funcional-e-intervencionista.-Perfusion-RM-funcional-y-espectroscopia.pdf
He publicado nuevos apuntes de Técnicas de Imagen por Resonancia Magnética: Tema-14.-RM-funcional-e-intervencionista.-Angio-RM-coronaria-y-neurologia-avanzada.pdf
He publicado nuevos apuntes de Técnicas de Imagen por Resonancia Magnética: Tema-13.-Caracteristicas-de-las-pruebas-de-RM.-Indicaciones-equipos-y-ventajas.pdf
He publicado nuevos apuntes de Técnicas de Imagen por Resonancia Magnética: Tema-12.-Contraindicaciones-de-las-exploraciones-en-RM.-Normas-de-seguridad.pdf
He publicado nuevos apuntes de Técnicas de Imagen por Resonancia Magnética: Tema-11.-Identificacion-de-los-riesgos-asociados.pdf
He publicado nuevos apuntes de Técnicas de Radiología Especial: Tema-15.-Densitometria-osea.pdf
He publicado nuevos apuntes de Técnicas de Radiología Especial: Tema-14.-Exploraciones-radiograficas-con-equipos-de-fluoroscopia-con-brazo-en-C.pdf
He publicado nuevos apuntes de Técnicas de Radiología Especial: Tema-13.-Exploraciones-radiologicas-con-equipos-portatiles.pdf
He publicado nuevos apuntes de Técnicas de Radiología Especial: Tema-11.-Exploracion-radiologica-intraoral.pdf
He publicado nuevos apuntes de Técnicas de Radiología Especial: Tema-12.-Exploracion-radiologica-ortopantomografia.pdf
He publicado nuevos apuntes de Técnicas de Radiología Especial: Tema-9.-Realizacion-de-mamografia.pdf