
Contador Público Nacional (UNSa)
Salta
Sube tus apuntes
arrow_forwardAsignaturas de Contador Público Nacional (UNSa)
Asignatura
arrow_downward3º
•
0 posts
3º
•
0 posts
5º
•
0 posts
3º
•
5 posts
1º
•
0 posts
2º
•
5 posts
2º
•
0 posts
3º
•
0 posts
4º
•
0 posts
2º
•
1 posts
1º
•
0 posts
5º
•
0 posts
1º
•
6 posts
4º
•
2 posts
2º
•
1 posts
3º
•
0 posts
1º
•
0 posts
2º
•
0 posts
4º
•
2 posts
2º
•
1 posts
5º
•
0 posts
3º
•
0 posts
4º
•
0 posts
4º
•
0 posts
3º
•
0 posts
1º
•
1 posts
1º
•
1 posts
1º
•
1 posts
2º
•
0 posts
4º
•
0 posts
5º
•
0 posts
1º
•
2 posts
2º
•
0 posts
3º
•
2 posts
4º
•
0 posts
5º
•
0 posts
Últimas publicaciones de Contador Público Nacional (UNSa)
el documento es un resumen de los conceptos basicos de la estadisticas incluyendo la estadistica descriptiva e inferecial tipos de variables escala de medicion y metodo de recoleccion de datos.
documento trata de conocimientos basico que sirve como introduccion a la carrera de contador publico
Documento trata de leyes logica, ecuacion, inecuacion, matrices y sistema de ecuaciones para las ciencias economicas
Documento trata la matematica 2 y 3 para cursar la carrera de contador publico, licenciado de administracion y licenciado en economia
El documento trata de la teoria del interes explicando la capitalizacion el interes simple y sus formulas matematicas con ejemplos practicos
El documento trata todo sobre el emprestitos sus caracteristas partes involucradas y derechos de los obligacionista en el contexto de la financiacion atreves de titulos publicos
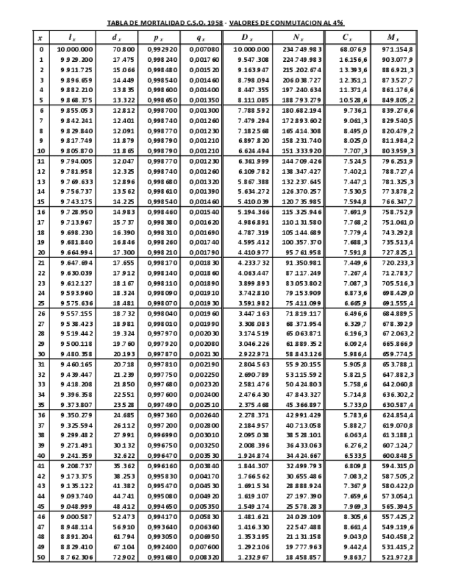
El documento trata sobre los casos practicos del calculo actuariales relacionados con la supervivencia mortalidad y prima de seguros
el documento trata sobre la funciones biometricas relacionadas con la medicion de la vida incluyendo concepto de sobrevivencia, mortalidad y probablidad asociada
el documento trata sobre la noción, elementos, origen, evolución, teoría y person
derecho constitucional argentino trata temas y unidades relacionados con la practica y teoria del derecho constitucional argentino
derecho constitucional argentino que abarca todas las unidades y temas relacionados con la practica y teoria del derecho constitucional argentino
Los modelos contables su medicion , la influencia de la inflacion en los estados contables y los criteros para mantener el capital de la empresa
modelos y conceptos contables tales como contabilidad estados financieros y la medicion de ganancia de la empresa
CARACTERISTICAS DE LOS MODELOS CONTABLES 4 modelos generales contables de argentina
He publicado nuevos apuntes de 3º Seminario de Responsabilidad Social: 1ER-APUNTE-incmpl.pdf
He publicado nuevos apuntes de 4º Economía III: resumen-eco-Sanchez-Wilde-y-Gutierrez.pdf
He publicado nuevos apuntes de 4º Derecho del Trabajo y Seguridad Social: Monografia-Accidentes-Laborales-Pdf.pdf
He publicado nuevos trabajos de 1º Principios de Administración: Trabajo-Practico-3-Enfoque-de-Sistema-en-la-Organizacion.pdf
He publicado nuevos trabajos de 1º Principios de Administración: Trabajo-Practico-1-Organizaciones.pdf
He publicado nuevos apuntes de 1º Derecho Constitucional: constitucional-I-X-1.pdf
He publicado nuevos apuntes de 1º Derecho Constitucional: CONSTITUCIONAL-CPN-RESUMEN-2011-1.pdf
He publicado nuevos apuntes de 1º Derecho Constitucional: Derecho-Constitucional-Resumen-de-Bidart-Campos-80-piginas.pdf
He publicado nuevos apuntes de 3º Seminario de Responsabilidad Social: RESUMEN-BALANCE-SOCIAL.pdf
He publicado nuevos apuntes de 4º Derecho del Trabajo y Seguridad Social: Resumen-Laboral.pdf
He publicado nuevos apuntes de 2º Contabilidad II: resumen-contabilidad-pasado-presente-y-futuro.pdf
He publicado nuevos apuntes de 2º Contabilidad II: CONTA-II-Carpeta-completa-de-teoria-Desarrollo-del-programa.pdf