
Analista Programador Universitario (UNJU)
San Salvador de Jujuy
Sube tus apuntes
arrow_forwardAsignaturas de Analista Programador Universitario (UNJU)
Asignatura
arrow_downward2º
•
6 posts
2º
•
0 posts
2º
•
0 posts
3º
•
0 posts
1º
•
23 posts
2º
•
0 posts
1º
•
0 posts
3º
•
0 posts
1º
•
2 posts
1º
•
0 posts
1º
•
0 posts
1º
•
0 posts
2º
•
0 posts
2º
•
0 posts
3º
•
0 posts
3º
•
0 posts
1º
•
0 posts
2º
•
0 posts
3º
•
0 posts
2º
•
0 posts
1º
•
3 posts
2º
•
0 posts
2º
•
0 posts
3º
•
0 posts
3º
•
0 posts
3º
•
0 posts
Últimas publicaciones de Analista Programador Universitario (UNJU)
apuntes
-
Unidad 1 y 2 (2022)
He publicado nuevos apuntes de 1º Programación Estructurada: Unidad 1 y 2 (2022)
apuntes
-
Programacion Estructurada (2021)
He publicado nuevos apuntes de 1º Programación Estructurada: Programacion Estructurada (2021)
apuntes
-
HI (otros documentos)
He publicado nuevos apuntes de 1º Herramientas informáticas I: HI (otros documentos)
apuntes
-
Herramientas Informaticas 1 (2021)
He publicado nuevos apuntes de 1º Herramientas informáticas I: Herramientas Informaticas 1 (2021)
apuntes
-
Cuestionarios
He publicado nuevos apuntes de 1º Base de Datos I: Cuestionarios
He publicado nuevos apuntes de 1º Base de Datos I: Algebra-Relacional.pdf
He publicado nuevos apuntes de 1º Base de Datos I: 05Funciones-de-grupo.pdf
He publicado nuevos apuntes de 1º Base de Datos I: 04Datos-de-varias-tablas.pdf
He publicado nuevos apuntes de 1º Base de Datos I: 03Funciones-de-Una-Sola-Fila.pdf
He publicado nuevos apuntes de 1º Base de Datos I: 02Restriccion-y-Ordenacion-de-Datos.pdf
He publicado nuevos apuntes de 1º Base de Datos I: 01Sentencias-Select-Basicas.pdf
He publicado nuevos apuntes de 1º Base de Datos I: Cuestionario-N-5-FINAL.pdf
He publicado nuevos apuntes de 1º Base de Datos I: Cuestionario-N-4-FINAL.pdf
He publicado nuevos apuntes de 1º Base de Datos I: Cuestionario-N-3FINAL.pdf
He publicado nuevos apuntes de 1º Base de Datos I: Cuestionario-N-2FINAL.pdf
He publicado nuevos apuntes de 1º Base de Datos I: Cuestionario-N-1BaseDeDatos.pdf
He publicado nuevos ejercicios de 2º Álgebra I: TRABAJO-PRACTICO-No-7-COMBINATORIA.pdf
He publicado nuevos trabajos de 2º Álgebra I: TRABAJO-PRACTICO-No-6-SUCESIONES.pdf
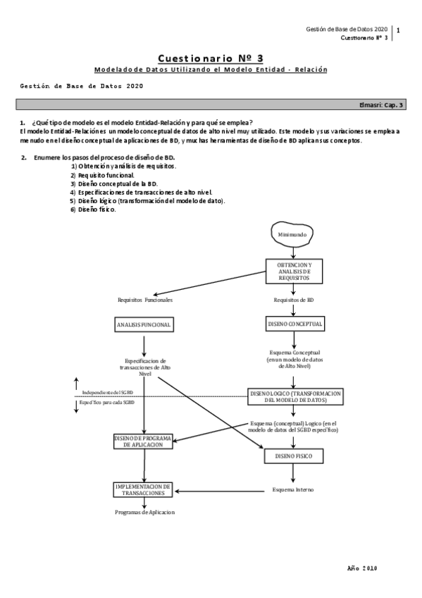
He publicado nuevos trabajos de 1º Base de Datos I: Cuestionario-N-3-Modelo-Entidad-Relacion.pdf
He publicado nuevos trabajos de 1º Base de Datos I: Cuestionario-N-2Modelo-de-Datos.pdf
He publicado nuevos trabajos de 1º Base de Datos I: Cuestionario-N-1Arquitectura-de-los-Sistemas-de-Gestion-de-Base-de-Datos--SGBD.pdf
He publicado nuevos examenes de 2º Álgebra I: EVALUACION-DE-MATRICES-RESUELTA.pdf
He publicado nuevos examenes de 2º Álgebra I: EVALUACION-FUNCIONES-RESUELTA.pdf
He publicado nuevos examenes de 2º Álgebra I: EVALUACION-DE-CONJUNTO-RESUELTA.pdf
He publicado nuevos examenes de 2º Álgebra I: EVALUAC-LOGICA-RESUELTO.pdf