
Ingeniería Civil Industrial (UT)
Arica
Asignaturas de Ingeniería Civil Industrial (UT)
Asignatura
arrow_downward12º
•
0 posts
2º
•
0 posts
3º
•
0 posts
2º
•
0 posts
3º
•
0 posts
4º
•
0 posts
4º
•
0 posts
9º
•
0 posts
8º
•
0 posts
4º
•
0 posts
10º
•
0 posts
10º
•
0 posts
10º
•
0 posts
10º
•
0 posts
11º
•
0 posts
5º
•
0 posts
7º
•
0 posts
5º
•
1 posts
7º
•
0 posts
6º
•
0 posts
3º
•
0 posts
7º
•
0 posts
9º
•
0 posts
9º
•
0 posts
4º
•
0 posts
6º
•
0 posts
9º
•
0 posts
10º
•
0 posts
2º
•
0 posts
1º
•
0 posts
1º
•
0 posts
1º
•
0 posts
1º
•
0 posts
6º
•
0 posts
9º
•
0 posts
6º
•
0 posts
7º
•
0 posts
3º
•
0 posts
5º
•
21 posts
5º
•
0 posts
8º
•
0 posts
5º
•
0 posts
1º
•
0 posts
10º
•
0 posts
6º
•
0 posts
3º
•
0 posts
2º
•
0 posts
8º
•
0 posts
8º
•
0 posts
1º
•
0 posts
2º
•
0 posts
6º
•
0 posts
4º
•
0 posts
Últimas publicaciones de Ingeniería Civil Industrial (UT)
apuntes
-
Apuntes, Libros, Extras Asignatura
He publicado nuevos apuntes de 5º Mecánica de Fluidos: Apuntes, Libros, Extras Asignatura
apuntes
-
15. Canales abiertos
He publicado nuevos apuntes de 5º Mecánica de Fluidos: 15. Canales abiertos
apuntes
-
14. Formula de Chezy
He publicado nuevos apuntes de 5º Mecánica de Fluidos: 14. Formula de Chezy
apuntes
-
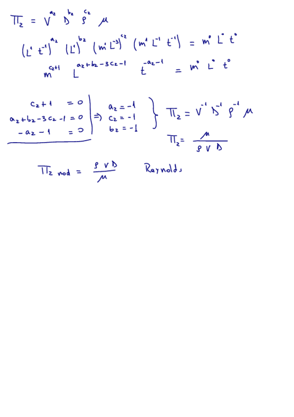
13. Análisis dimensional
He publicado nuevos apuntes de 5º Mecánica de Fluidos: 13. Análisis dimensional
apuntes
-
12. Conservación de la cantidad de movimiento
He publicado nuevos apuntes de 5º Mecánica de Fluidos: 12. Conservación de la cantidad de movimiento
apuntes
-
11. Teorema de transporte de reynolds y conservación de la cantidad de movimiento
He publicado nuevos apuntes de 5º Mecánica de Fluidos: 11. Teorema de transporte de reynolds y conservación de la cantidad de movimiento
apuntes
-
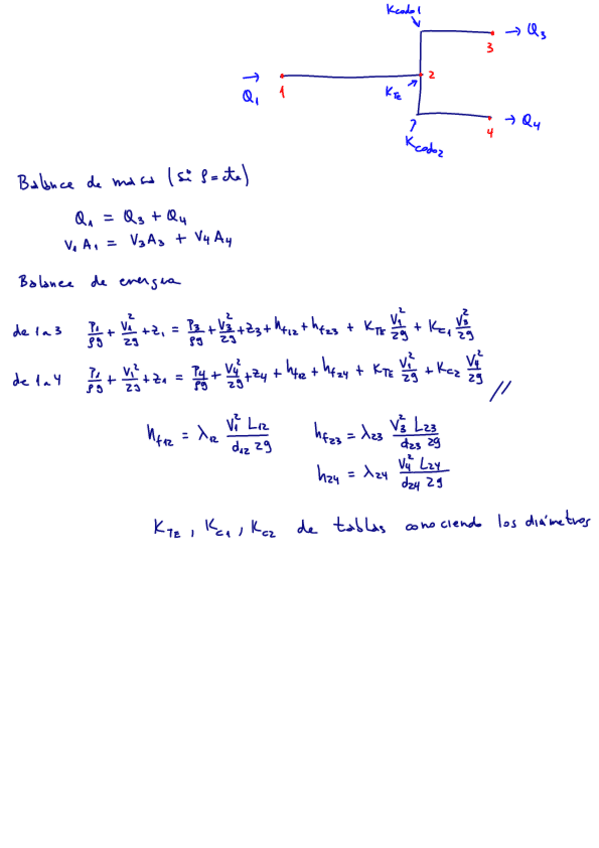
10. Flujo en tuberías, Flujo en serie y paralelo y Hardy cross
He publicado nuevos apuntes de 5º Mecánica de Fluidos: 10. Flujo en tuberías, Flujo en serie y paralelo y Hardy cross
apuntes
-
09. Caudal, diametro y perdidas, Problemas tipicos de flujo en tuberias
He publicado nuevos apuntes de 5º Mecánica de Fluidos: 09. Caudal, diametro y perdidas, Problemas tipicos de flujo en tuberias
apuntes
-
08. Reynolds y perdidas
He publicado nuevos apuntes de 5º Mecánica de Fluidos: 08. Reynolds y perdidas
apuntes
-
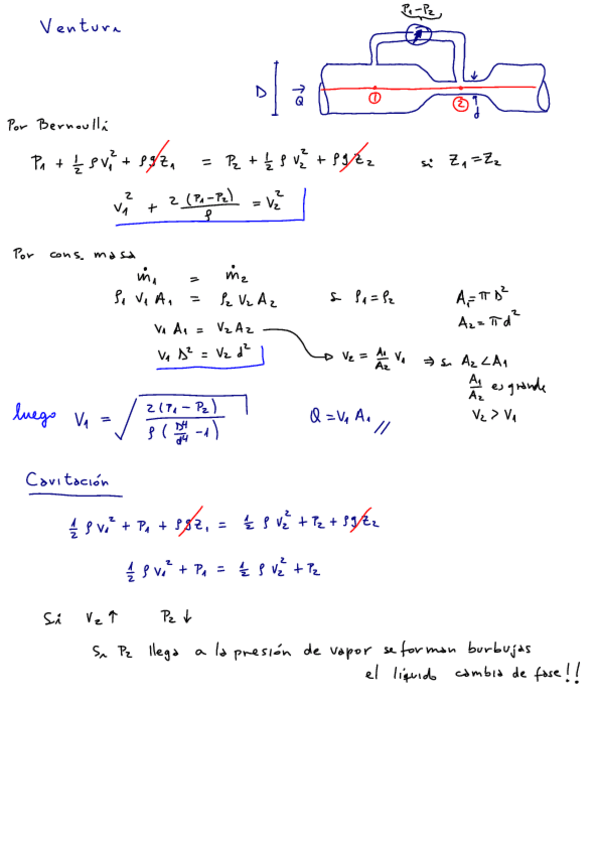
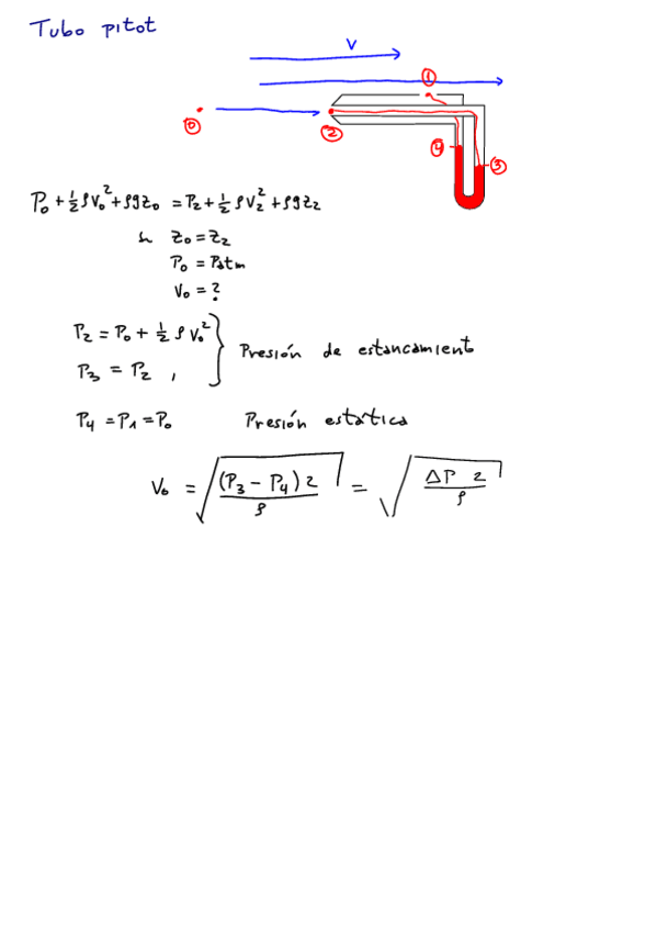
07. Venturi y Pitot
He publicado nuevos apuntes de 5º Mecánica de Fluidos: 07. Venturi y Pitot
apuntes
-
06. Ecuación de Bernoulli
He publicado nuevos apuntes de 5º Mecánica de Fluidos: 06. Ecuación de Bernoulli
apuntes
-
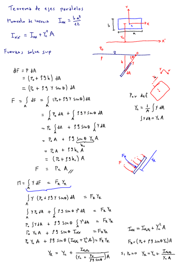
05. Superficies planas y empuje
He publicado nuevos apuntes de 5º Mecánica de Fluidos: 05. Superficies planas y empuje
apuntes
-
04. Superficies planas
He publicado nuevos apuntes de 5º Mecánica de Fluidos: 04. Superficies planas
apuntes
-
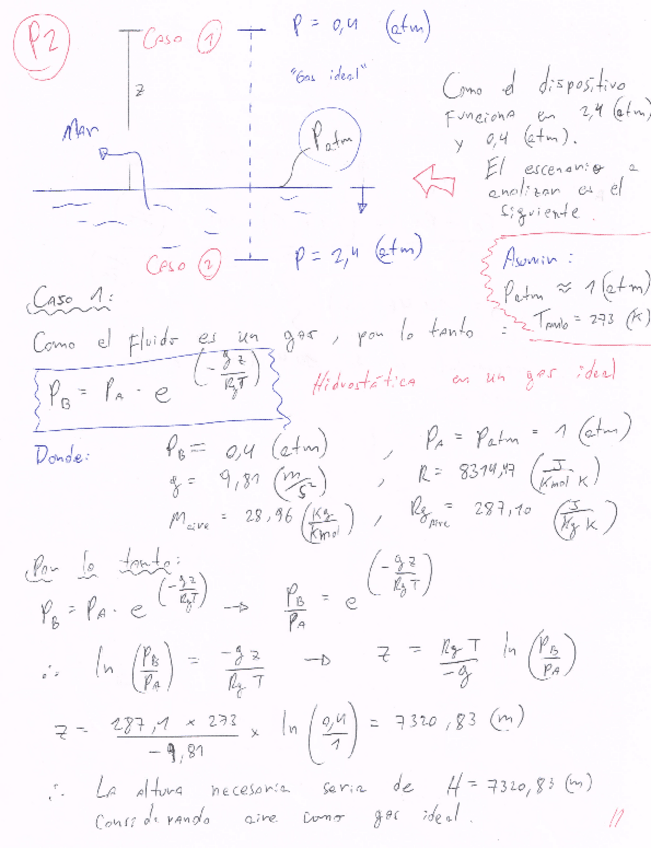
03. Hidrostática (Pt. 2)
He publicado nuevos apuntes de 5º Mecánica de Fluidos: 03. Hidrostática (Pt. 2)
apuntes
-
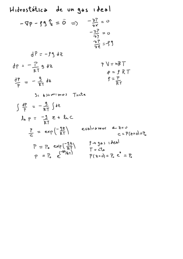
02. Hidrostática
He publicado nuevos apuntes de 5º Mecánica de Fluidos: 02. Hidrostática
apuntes
-
01. Que es un fluido
He publicado nuevos apuntes de 5º Mecánica de Fluidos: 01. Que es un fluido
ejercicios
-
Estadística y Probabilidades - Ejercicios Resueltos
Ejercicios resueltos
examenes
-
Mecánica de Fluidos - Pruebas Optativas
Pruebas Optativas - Pautas, Pruebas y Ejercicios Resueltos
examenes
-
Mecánica de Fluidos - Prueba N°3
Pruebas N°3 - Pautas, Pruebas y Ejercicios Resueltos
examenes
-
Mecánica de Fluidos - Prueba N°2
Pruebas N°2 - Pautas, Pruebas y Ejercicios Resueltos
examenes
-
Mecánica de Fluidos - Prueba N°1
Pruebas N°1 - Pautas, Pruebas y Ejercicios Resueltos
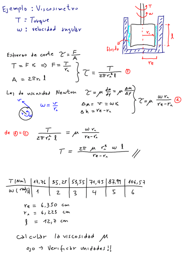
ejercicios
-
Mecánica de Fluidos Ayudantías
Mecánica de Fluidos Ayudantías