
Ponce de León - Laboratorio Clínico y Biomédico
Sevilla
Asignaturas de Ponce de León - Laboratorio Clínico y Biomédico
Asignatura
arrow_downward16 posts
9 posts
40 posts
23 posts
Últimas publicaciones de Ponce de León - Laboratorio Clínico y Biomédico
He publicado nuevos trabajos de Análisis bioquímico: Marcadores-Tumorales.pdf
He publicado nuevos trabajos de Análisis bioquímico: Monitorizacion-de-farmacos.pdf
He publicado nuevos ejercicios de Análisis bioquímico: Resumen-Enzimas.pdf
He publicado nuevos ejercicios de Análisis bioquímico: Actividades-Enzimas.pdf
He publicado nuevos apuntes de Análisis bioquímico: Esquema-Resumen-Metabolismo-Bilirrubina.pdf
He publicado nuevos apuntes de Análisis bioquímico: Resumen-Lipoproteinas.pdf
He publicado nuevos otros de Técnicas de inmunodiagnóstico: Imagen-diabetes.pdf
practicas
-
Técnicas de siembra
He publicado nuevos practicas de Microbiología clínica: Técnicas de siembra
He publicado nuevos practicas de Microbiología clínica: Elaboracion-De-Medios-De-Cultivo.pdf
He publicado nuevos practicas de Microbiología clínica: Practica-Esterilizacion.pdf
He publicado nuevos practicas de Microbiología clínica: Preparacion-De-Colorantes.pdf
He publicado nuevos practicas de Microbiología clínica: Practica-Reconocimiento-De-Material.pdf
He publicado nuevos practicas de Técnicas de inmunodiagnóstico: Esquema-Ficoll.pdf
practicas
-
Técnicas de ELISA
He publicado nuevos practicas de Técnicas de inmunodiagnóstico: Técnicas de ELISA
He publicado nuevos apuntes de Técnicas de inmunodiagnóstico: Esquema-Tecnicas-De-Aglutinacion.pdf
He publicado nuevos apuntes de Técnicas de inmunodiagnóstico: Esquema-Tecnicas-De-Precipitacion.pdf
apuntes
-
Esquema de Coombs
He publicado nuevos apuntes de Técnicas de análisis hematológico: Esquema de Coombs
He publicado nuevos ejercicios de Técnicas de análisis hematológico: ACTIVIDAD-ANALISIS-DATOS.pdf
trabajos
-
Linfoma de Hodgkin
He publicado nuevos trabajos de Técnicas de análisis hematológico: Linfoma de Hodgkin
trabajos
-
Hemoglobinopatías
He publicado nuevos trabajos de Técnicas de análisis hematológico: Hemoglobinopatías
He publicado nuevos apuntes de Técnicas de análisis hematológico: Apuntes-RA-1-Hematologia.pdf
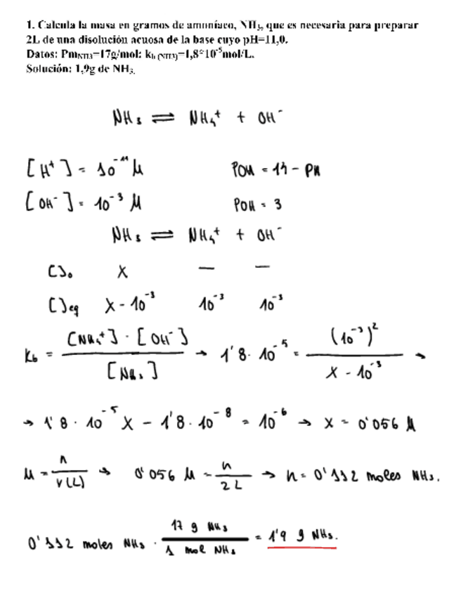
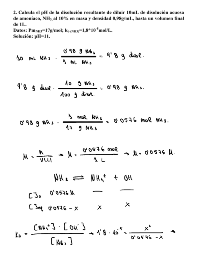
He publicado nuevos apuntes de Técnicas generales de laboratorio: Problemas-pH-resueltos.pdf
He publicado nuevos apuntes de Biología molecular y citogenética: Actividades-BM.pdf
He publicado nuevos apuntes de Gestión de muestras biológicas: Esquema-Primeros-Auxilios.pdf
He publicado nuevos apuntes de Formación y orientación laboral: Apuntes-Nominas.pdf
He publicado nuevos apuntes de Fisiopatología general: Enfermedades-Digestivo.pdf
He publicado nuevos apuntes de Fisiopatología general: Tema-11-Nutricion-y-metabolismo.pdf
He publicado nuevos apuntes de Fisiopatología general: Fisiopatologias-Ap.-Reproductor.pdf
He publicado nuevos apuntes de Fisiopatología general: Aparatos-Reproductores.pdf
He publicado nuevos apuntes de Fisiopatología general: Partes-y-funciones-del-aparato-digestivo.pdf
He publicado nuevos trabajos de Técnicas de inmunodiagnóstico: Diabetes-Mellitus.pdf
He publicado nuevos trabajos de Biología molecular y citogenética: Produccion-de-anticuerpos-monoclonales-mediante-cultivos-celulares.pdf
He publicado nuevos apuntes de Análisis bioquímico: AC2.-Enzimas-en-medicina.pdf
He publicado nuevos apuntes de Microbiología clínica: PRACTICA-9-PRUEBA-DE-LA-OXIDASA.pdf
He publicado nuevos apuntes de Microbiología clínica: P2-PRUEBA-DE-OXIDACION-FERMENTACION-HUGH-Y-LEIFFSON.pdf
He publicado nuevos apuntes de Microbiología clínica: PRACTICA-8-PRUEBA-DE-AGAR-HIERRO-KLIGLER-1.pdf
He publicado nuevos apuntes de Microbiología clínica: P1-PRUEBA-DE-SCREENING-DE-PRODUCCION-DE-ACIDO-Y-GAS-1.pdf
He publicado nuevos apuntes de Técnicas de inmunodiagnóstico: ENFERMEDAD-CELIACA.pdf
He publicado nuevos apuntes de Microbiología clínica: PRACTICA-6-SIEMBRA-EN-MEDIO-CHAPMAN.pdf
He publicado nuevos apuntes de Microbiología clínica: PRACTICA-5-PRUEBA-DE-LAS-DESCARBOXILASAS.pdf
He publicado nuevos apuntes de Microbiología clínica: PRACTICA-12-UREASA.pdf
He publicado nuevos apuntes de Microbiología clínica: SIEMBRA-EN-MEDIO-MCCONKEY-Y-LEVINE.pdf
He publicado nuevos apuntes de Técnicas de inmunodiagnóstico: FLUOROCROMOS.pdf
He publicado nuevos apuntes de Microbiología clínica: ROJO-DE-METILOVOGES-PROSKAUER.pdf
He publicado nuevos apuntes de Microbiología clínica: SIEMBRA-EN-AGAR-CLED.pdf
He publicado nuevos apuntes de Microbiología clínica: antifungigrama-1.pdf
He publicado nuevos apuntes de Microbiología clínica: CE-e-RESULTADOS-DEL-ENTEROPLURI-TEST.pdf
He publicado nuevos apuntes de Técnicas de análisis hematológico: ACTIVIDAD-3-RA3-CE-b-RECUENTO-DE-RETICULOCITOS-EN-UN-FROTIS.pdf
He publicado nuevos apuntes de Técnicas de inmunodiagnóstico: Esquema-ELISA-Alzheimer.pdf
apuntes
-
Prácticas Microbiología
He publicado nuevos apuntes de Microbiología clínica: Prácticas Microbiología