@Aeroespacial

45 Publicaciones

5.33k Interacciones

4 Seguidores

2 Siguiendo

Lista de publicaciones de Aeroespacial

He publicado nuevos examenes de 1º Economía de la Empresa: Ordinario-2019.pdf

26 páginas

He publicado nuevos examenes de 1º Economía de la Empresa: Ordinario-2019.pdf

26 páginas

He publicado nuevos examenes de 1º Economía de la Empresa: Extraordinario-2018.pdf

14 páginas

He publicado nuevos examenes de 1º Economía de la Empresa: Ordinario-2018.pdf

14 páginas

He publicado nuevos examenes de 1º Economía de la Empresa: Ordinario-2018.pdf

14 páginas

He publicado nuevos examenes de 1º Economía de la Empresa: Extraordinario-2019.pdf

16 páginas

He publicado nuevos examenes de 1º Economía de la Empresa: Extraordinario-2019.pdf

16 páginas

He publicado nuevos examenes de 1º Economía de la Empresa: Extraordinario-2018.pdf

14 páginas

He publicado nuevos examenes de 1º Economía de la Empresa: Macro-2019.pdf

10 páginas

He publicado nuevos examenes de 1º Economía de la Empresa: Macro-2019.pdf

10 páginas

He publicado nuevos examenes de 1º Economía de la Empresa: Macro-2018.pdf

8 páginas

He publicado nuevos examenes de 1º Economía de la Empresa: Macro-2018.pdf

8 páginas

He publicado nuevos examenes de 1º Economía de la Empresa: Micro-2018.pdf

8 páginas

He publicado nuevos examenes de 1º Economía de la Empresa: Micro-2018.pdf

8 páginas

He publicado nuevos examenes de 2º Termodinámica: problema-ciclo-Nov-2018-tablon.pdf

3 páginas

He publicado nuevos examenes de 2º Termodinámica: P1.pdf

3 páginas

He publicado nuevos examenes de 2º Termodinámica: Test-cerrados.pdf

44 páginas

apuntes

-

Curso completo (Teoría y Exámenes)

He publicado nuevos apuntes de 1º Física I: Curso completo (Teoría y Exámenes)

Problemas-3o-Parcial-Sistemas-de-Particulas-y-SR.pdf
Problemas-2o-Parcial-Composicion-de-movimientos-y-Dinamica.pdf
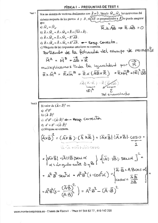
Test-1o-Parcial.pdf
Examenes-2o-PArcial.pdf
Test-2o-Parcial.pdf
Problemas-1o-Parcial-Tema-2-Cinematica.pdf

He publicado nuevos examenes de 1º Tecnología Aeroespacial: parcial-2-soluciones.pdf

4 páginas

He publicado nuevos examenes de 1º Tecnología Aeroespacial: final20180620V01solu.pdf

5 páginas