@EC

Estudios: Máster en Ingeniería Industrial (US) ...Mostrar más

66 Publicaciones

3.13k Interacciones

9 Seguidores

0 Siguiendo

Lista de publicaciones de EC

apuntes

-

Ejes, rodamientos, hidráulica

Extractos de los libros de la bibliografía

Neumática A. Serrano.pdf
Automatismos neumáticos Miguel Puerto Enríquez.pdf
Ejes. Mott.pdf

Incluye apuntes de academia en algunas partes

10 páginas

Indiscutible para aprobar

22 páginas

apuntes

-

Exámenes, Cuestiones y Resumen

Resuelto todo

FLUIDOS.pdf
FLUIDOS 1.pdf
FLUIDOS 2.pdf

No hace falta el libro

52 páginas

Imprescindible para aprobar

24 páginas

Estupendo

41 páginas

Para sacar buena nota

52 páginas

Sobra el libro

35 páginas

apuntes

-

Catálogos

Páginas seleccionadas de cada catálogo. Imprescindible para examen.

SKF Catalogo General(1)-split-merge.pdf
BOMBAS ROQUET.pdf
CILINDROS EATON.pdf
TOLERANCIAS AJUSTE A PRESIÓN.pdf
CILINDROS PARKER.pdf

Solo las páginas que se usan en los problemas

14 páginas

He publicado nuevos apuntes de 1º Química General: QUIMICA.pdf

31 páginas

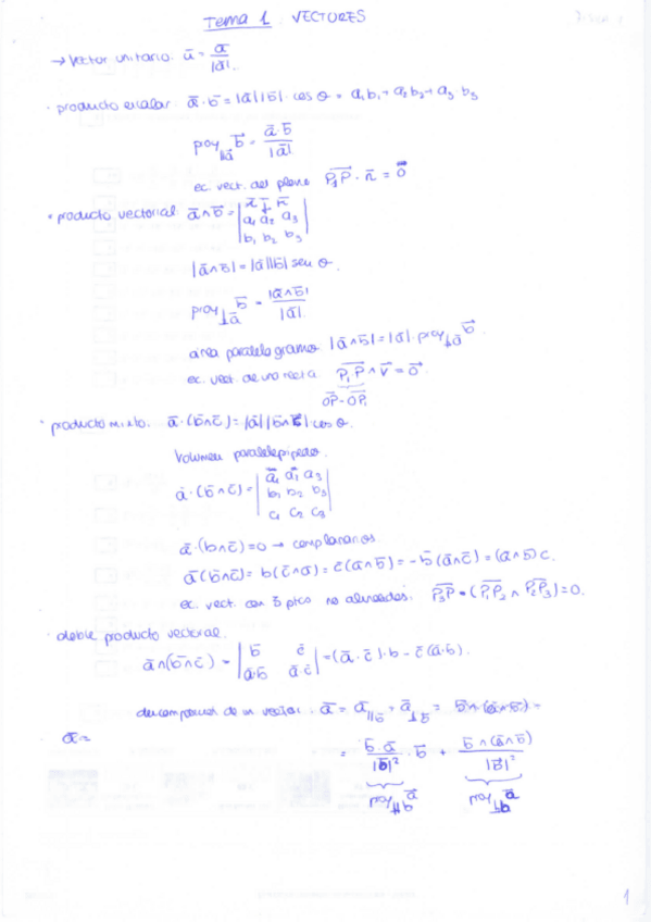
Formulario y resumen de toda la asignatura manuscritos

83 páginas

He publicado nuevos apuntes de 1º Matemáticas II: MATEMATICAS II.pdf

15 páginas

He publicado nuevos apuntes de 1º Física I: FISICA I.pdf

32 páginas

Necesario para aprobar

37 páginas

Conceptos básicos para el diédrico (chapas, intersección de figuras, planos, cilindros, tetraedos...)

13 páginas

Manuscritos

12 páginas

Necesario para aprobar

37 páginas

He publicado nuevos apuntes de 1º Matemáticas I: MATEMATICAS I.pdf

16 páginas