@JCg23

49 Publicaciones

1.64k Interacciones

2 Seguidores

0 Siguiendo

Lista de publicaciones de JCg23

He publicado nuevos apuntes de 4º Nutrición y Bromatología: Kahoot-fisios-.pdf

3 páginas

He publicado nuevos apuntes de 4º Nutrición y Bromatología: En-blanco-1.pdf

3 páginas

He publicado nuevos apuntes de 4º Nutrición y Bromatología: En-blanco-15.pdf

1 página

He publicado nuevos apuntes de 4º Nutrición y Bromatología: En-blanco-2.pdf

2 páginas

He publicado nuevos apuntes de 4º Nutrición y Bromatología: En-blanco.pdf

3 páginas

He publicado nuevos apuntes de 2º Historia de la Farmacia y Patrimonio Farmacéutico: HISTORIA-DE-LA-FARMACIA.docx

word

apuntes

-

APUNTES CAMPOS INGLES

He publicado nuevos apuntes de 3º Química Farmacéutica I: APUNTES CAMPOS INGLES

Addendum-chapter-04.pdf
Addendum-chapter-06.pdf
Addendum-chapter-02.pdf
Addendum-chapter-01.pdf
Addendum-chapter-05.pdf
Addendum-chapter-07.pdf

apuntes

-

Primer parcial ocete MATRICULA DE HONOR

He publicado nuevos apuntes de 3º Farmacología II: Primer parcial ocete MATRICULA DE HONOR

TEMA-5.docx
TEMA-1-FARMA-2.docx
TEMA-2.docx
T6.docx
TEMA-3-FARMA-2.docx
TEMA-4.docx

apuntes

-

APUNTES NOEL MATRÍCULA HONOR

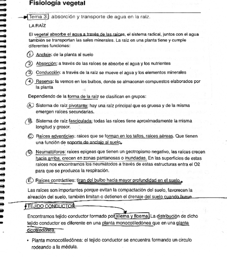
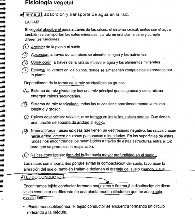
He publicado nuevos apuntes de 1º Fisiología Vegetal: APUNTES NOEL MATRÍCULA HONOR

Escaneado-9-feb-2020-17.pdf
Escaneado-9-feb-2020-17.pdf
Escaneado-9-feb-2020-17.pdf
Escaneado-9-feb-2020-17.pdf
Escaneado-9-feb-2020-17.pdf
Escaneado-9-feb-2020-17.pdf

He publicado nuevos apuntes de 2º Microbiología II: Escaneado-9-feb-2020-17.pdf

8 páginas

He publicado nuevos apuntes de 2º Fisiologia Celular y Humana Ii: Escaneado-9-feb-2020-17.pdf

22 páginas

apuntes

-

PROBLEMAS, EXÁMENES, ESPECTROS

He publicado nuevos apuntes de 1º Técnicas Instrumentales: PROBLEMAS, EXÁMENES, ESPECTROS

Escaneado-9-feb-2020-18.pdf
Escaneado-9-feb-2020-18.pdf
Escaneado-9-feb-2020-18.pdf
Escaneado-9-feb-2020-18.pdf

apuntes

-

APUNTES CROVETTO

He publicado nuevos apuntes de 1º Técnicas Instrumentales: APUNTES CROVETTO

Escaneado-9-feb-2020-18.pdf
Escaneado-9-feb-2020-18.pdf

He publicado nuevos apuntes de 1º Técnicas Instrumentales: Escaneado-9-feb-2020-18.pdf

21 páginas