@Lokaderso

Bio: Espero poder servir de ayuda con mis apuntes <3

116 Publicaciones

2.65k Interacciones

17 Seguidores

0 Siguiendo

Lista de publicaciones de Lokaderso

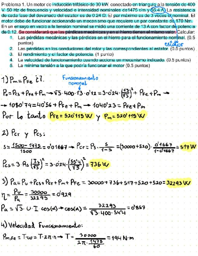
Solución 2° Parcial 2024 Ampliación Máquinas Eléctricas

3 páginas

Ejercicio-Tipo-Tabla-De-Actividades-Segundo-Parcial

5 páginas

He publicado nuevos practicas de 3º Líneas Eléctricas y Transporte Energía Eléctrica: Infografia-Practica-5.pdf

1 página

He publicado nuevos apuntes de 4º Instalaciones Eléctricas de Baja Tensión: Apuntes-Tema-4.pdf

7 páginas

Falta el apartado c), d), y e) de la cuestión 4

10 páginas

Esquema unifilar de una vivienda según ITC-BT-25

1 página

Solucion 1° examen 2024 - Ampliación de Máquinas Todavía no hay asignatura en Wuolah de ampliación de Máquinas eléctricas

7 páginas

Teoría según poliformaT primer parcial

8 páginas

Datos obtenidos

1 página

Características del software dmELECT

1 página

Apoyos y característica práctica 1

5 páginas

He publicado nuevos apuntes de 3º Motores Térmicos y Máquinas Hidráulicas: Teoria-Test-practicas-Maquinas-Mojadas.pdf

6 páginas

Hecho hasta la iteración i=0

6 páginas

He publicado nuevos ejercicios de 3º Sistemas Eléctricos de Potencia: Ejercicio-clase-Estabilidad-Transitoria.pdf

5 páginas

He publicado nuevos examenes de 2º Máquinas Eléctricas: Test-Global-2023.pdf

3 páginas

He publicado nuevos examenes de 2º Máquinas Eléctricas: 2-Parcial-2023.pdf

5 páginas

He publicado nuevos ejercicios de 2º Máquinas Eléctricas: Ejercicios-Transformadores-Trifasicos.pdf

10 páginas

He publicado nuevos apuntes de 3º Electrónica de Potencia (It1): Teoria-2-Parcial-corregido.pdf

8 páginas

He publicado nuevos apuntes de 3º Motores Térmicos y Máquinas Hidráulicas: Formulario-Motores-Termicos.pdf

7 páginas

Roblemas Motores Termicos

9 páginas