@Shk

39 Publicaciones

8.67k Interacciones

17 Seguidores

0 Siguiendo

Lista de publicaciones de Shk

He publicado nuevos apuntes de 3º Ingeniería de las Reacciones Homogéneas: ApuntesIRHOT-1b.pdf

22 páginas

He publicado nuevos ejercicios de 3º Análisis de Procesos Químicoindustriales: Problema-Tema-09.pdf

3 páginas

He publicado nuevos ejercicios de 3º Análisis de Procesos Químicoindustriales: CPA3-ProblemResol-APQI.pdf

7 páginas

He publicado nuevos ejercicios de 3º Análisis de Procesos Químicoindustriales: Problemas-Industria-Inorganicas-Temas-02-y-03-Resolucion-APQI.pdf

17 páginas

He publicado nuevos apuntes de 3º Análisis de Procesos Químicoindustriales: ResumenVideoRefineria2020APQI.pdf

1 página

Ejercicios de entregas

8 páginas

Cuaderno de apuntes de practicas de laboratorio

26 páginas

Resolucion de las hojas de ejercicios de los temas 1, 2 y 4

40 páginas

Hojas resumen de los temas 1,2,3,4 y 6

12 páginas

Diapostivas con comentarios y hojas de aclaraciones de los temas 1 a 11

96 páginas

Apuntes y ejercicios del tema 8 (Máquinas Termicas)

39 páginas

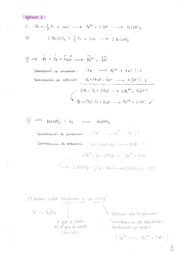
Ejercicios del tema 12 (Corrosión y Degradación) resueltos

10 páginas

Hoja de ejercicios de seminario tema 10 (polimeros) resuelta

12 páginas

Seminario del tema 2 (conveccion) resuelto 2017-18

2 páginas

Ejercicio entrega tema 6 (evaporadores) 2017-18 resuelto

5 páginas

Ejercicio entrega tema 7 (hornos) 2017-18 resuelto

5 páginas

Entrega tema 1 (conduccion) resuelta

3 páginas

Ejercicio entrega tema 8 (Máquinas Térmicas) 2017-18 resuelto

6 páginas

Apuntes de clase del tema 07 (hornos y calderas)

pdf

Problemas resueltos del tema 07, Hornos y Calderas.

pdf