@adeadeadeadeade

57 Publicaciones

1.89k Interacciones

6 Seguidores

1 Siguiendo

Lista de publicaciones de adeadeadeadeade

He publicado nuevos ejercicios de 3º Dirección de Operaciones I: t4do-ejs-cvb.pdf

12 páginas

He publicado nuevos examenes de 1º Introducción a las Operaciones Financieras: parcial-iof-2022-23.pdf

4 páginas

He publicado nuevos examenes de 1º Introducción a las Operaciones Financieras: EXAMENIOF.pdf

2 páginas

He publicado nuevos examenes de 3º Contabilidad de Gestión: EXAMEN-CG-PARCIAL-1.pdf

3 páginas

He publicado nuevos examenes de 3º Contabilidad de Gestión: preguntas-tipo-test-cg-parcial-1.pdf

4 páginas

He publicado nuevos apuntes de 2º Dirección Comercial: TEMA-2-DC.pdf

16 páginas

He publicado nuevos apuntes de 2º Dirección Comercial: DC-TEMA-1.pdf

7 páginas

He publicado nuevos ejercicios de 3º Dirección de Operaciones I: arboles-de-decision-resueltos-t3pages-to-jpg-0001-2.pdf

17 páginas

He publicado nuevos apuntes de 3º Dirección de Operaciones I: ejercicios-resueltos-productividad-t4.pdf

8 páginas

apuntes

-

DIAPOSITIVAS DIRECCIÓN COMERCIAL

He publicado nuevos apuntes de 2º Dirección Comercial: DIAPOSITIVAS DIRECCIÓN COMERCIAL

Unidad-2-Decisiones-sobre-producto-2-prado.pdf

He publicado nuevos examenes de 2º Técnicas Cuantitativas I: EXAMEN-FINAL-TC1 2024.pdf

12 páginas

He publicado nuevos apuntes de 2º Técnicas Cuantitativas I: CUESTIONARIO-3-TC1.pdf

8 páginas

He publicado nuevos examenes de 2º Técnicas Cuantitativas I: CUESTIONARIO-2-TC1.pdf

24 páginas

He publicado nuevos examenes de 2º Técnicas Cuantitativas I: CUESTIONARIO-1-TC-PERFECTO.pdf

20 páginas

apuntes

-

APUNTES RESUMIDOS ECONOMÍA POLÍTICA

He publicado nuevos apuntes de 1º Economía Política: APUNTES RESUMIDOS ECONOMÍA POLÍTICA

TEMA-1-ECONOMIA-POLITICA.pdf
TEMA-2-ECONOMIA-POLITICA.pdf
TEMA-3-ECONOMIA-POLITICA.pdf
TEMA-5-ECONOMIA-POLITICA.pdf

ejercicios

-

RELACIONES DE EJERCICIOS MATEMÁTICAS EMPRESARIALES

He publicado nuevos ejercicios de 1º Matemáticas Empresariales: RELACIONES DE EJERCICIOS MATEMÁTICAS EMPRESARIALES

Relac4ME-ADE2223.pdf
RELACION-DE-EJERCICIOS-1.pdf
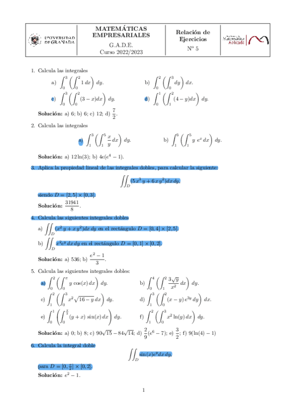
RELACION-DE-EJERCICIOS-5.pdf
RELACION-DE-EJERCICIOS-No-2.pdf
RELACION-DE-EJERCICIOS-No-3.pdf

He publicado nuevos apuntes de 1º Introducción al Derecho: t4-derecho-DEL-TRABAJO.pdf

8 páginas

He publicado nuevos examenes de 2º Economía Mundial: PREGUNTAS-TIPO-TEST-EM-POR-TEMAS.pdf

12 páginas

He publicado nuevos examenes de 2º Economía Mundial: BATERIA-PREGUNTAS-EM-POR-TEMAS.pdf

12 páginas

He publicado nuevos examenes de 2º Organización de Empresas: PREGUNTAS-TEST-EXAMEN-OE-2024.pdf

3 páginas