@annonnymm

Estudios: Máster en Física Nuclear (UCM) ...Mostrar más

65 Publicaciones

3.41k Interacciones

1 Seguidores

1 Siguiendo

Lista de publicaciones de annonnymm

practicas

-

Informes Lab Termodinámica

He publicado nuevos practicas de 2º Laboratorio de Física II: Informes Lab Termodinámica

Calorimetro.pdf
Conductividad.pdf
Cp-Solido.pdf
Curva-de-Vaporizacion-del-Agua.pdf
Entalpia-del-Agua.pdf
Gases-Reales.pdf

practicas

-

Informes Lab Mecánica y Ondas

He publicado nuevos practicas de 2º Laboratorio de Física II: Informes Lab Mecánica y Ondas

Cubeta-de-Ondas.pdf
Disco-de-Maxwell.pdf
Pendulos-Acoplados.pdf

practicas

-

Informes Lab Electricidad y Magnetismo

He publicado nuevos practicas de 2º Laboratorio de Física II: Informes Lab Electricidad y Magnetismo

Biot-Savart.pdf
Medidas-electricas.pdf
Osciloscopio.pdf

practicas

-

Informes Lab Cuántica

He publicado nuevos practicas de 2º Laboratorio de Física II: Informes Lab Cuántica

Cuerpo-Negro.pdf
Series-de-Balmer.pdf

He publicado nuevos apuntes de 1º Laboratorio de Física I: Tension-Superficial-P10.pdf

3 páginas

He publicado nuevos apuntes de 1º Laboratorio de Física I: Puente-de-Hilo-P15.pdf

4 páginas

He publicado nuevos apuntes de 1º Laboratorio de Física I: Pendulo-Simple-P5.pdf

9 páginas

He publicado nuevos apuntes de 1º Laboratorio de Física I: Osciloscopio-P19A.pdf

2 páginas

He publicado nuevos apuntes de 1º Laboratorio de Física I: Indices-de-Refraccion-P22.pdf

9 páginas

He publicado nuevos apuntes de 1º Laboratorio de Física I: Impedancia-en-un-Circuito-RC-P19B.pdf

9 páginas

He publicado nuevos apuntes de 1º Laboratorio de Física I: Entalpia-de-Fusion-del-Hielo-P14.pdf

7 páginas

He publicado nuevos apuntes de 1º Laboratorio de Física I: Colision-Inelastica-PPhyphox.pdf

9 páginas

He publicado nuevos apuntes de 1º Laboratorio de Física I: Campo-Magnetico-de-Conductores-P20R.pdf

3 páginas

ejercicios

-

Ejercicios resueltos de todos los temas

He publicado nuevos ejercicios de 1º Fundamentos de Física Ii: Ejercicios resueltos de todos los temas

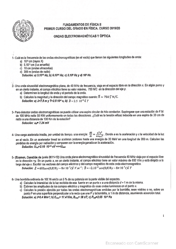
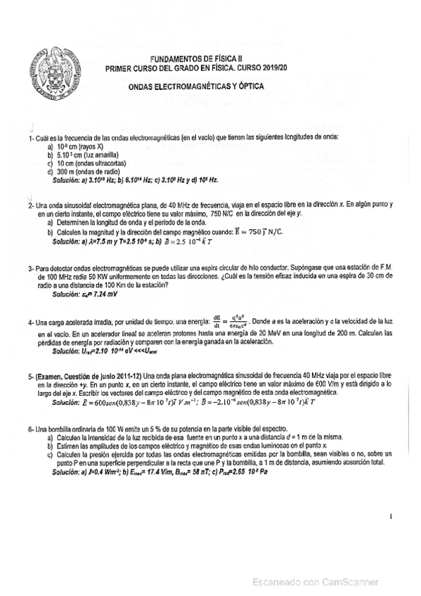
Problemas-tema-1.pdf
Problemas-tema-3.pdf
Problemas-tema-2.pdf
Problemas-tema-4.pdf
Problemas-tema-5.pdf

apuntes

-

Formularios bien completos

He publicado nuevos apuntes de 1º Fundamentos de Física Ii: Formularios bien completos

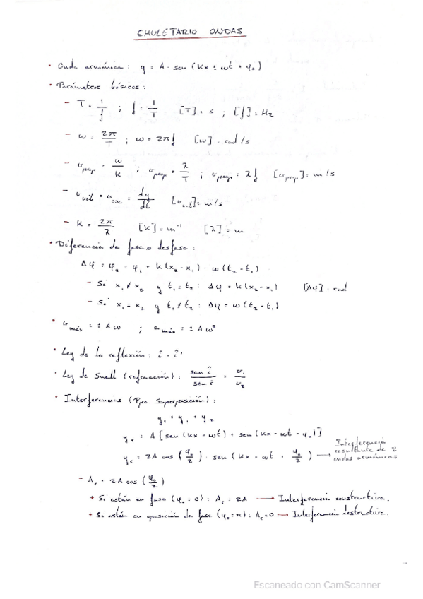
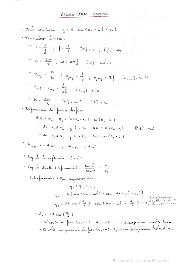
Formulario-ondas.pdf
Formulario-ondas-ampliado.pdf
Formulario-primer-parcial.pdf

practicas

-

Informes de prácticas completos

Informes de 10

Colision-Inelastica-PPhyphox-Wuolah.pdf
Campo-Magnetico-de-Conductores-P20R-Wuolah.pdf
Entalpia-de-Fusion-del-Hielo-P14-Wuolah.pdf
Pendulo-Simple-P5-Wuolah.pdf
Osciloscopio-P19A-Wuolah.pdf
Impedancia-en-un-Circuito-RC-P19B-Wuolah.pdf