@Anuskiii_

Estudios: Grado en Derecho (USC) ...Mostrar más

Bio: Holaaa Saqué un 13,46 en la EBAU, y pensé que podría ayudar a otros con muchos de los apuntes que usé durante mi época de estudio. Aquí encontrarás apuntes de: - Biología II - Matemáticas II - Lengua castellana (comentarios resueltos) ÁNIMO!!!

51 Publicaciones

452 Interacciones

1 Seguidores

0 Siguiendo

Lista de publicaciones de Anuskiii_

apuntes

-

Recopilación EBAU geometría

He publicado nuevos apuntes de Matemáticas II: Recopilación EBAU geometría

PROBLEMAS-METRICOS.pdf
RECTAS-Y-PLANOS.pdf
VECTORES.pdf
EBAU-RESUELTO-GEOMETRIA.pdf

apuntes

-

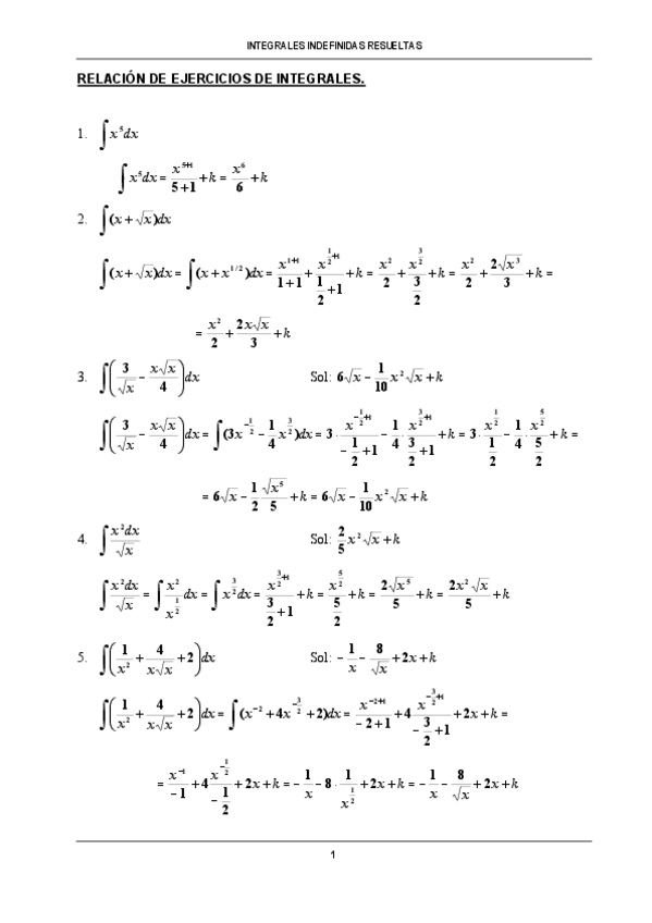
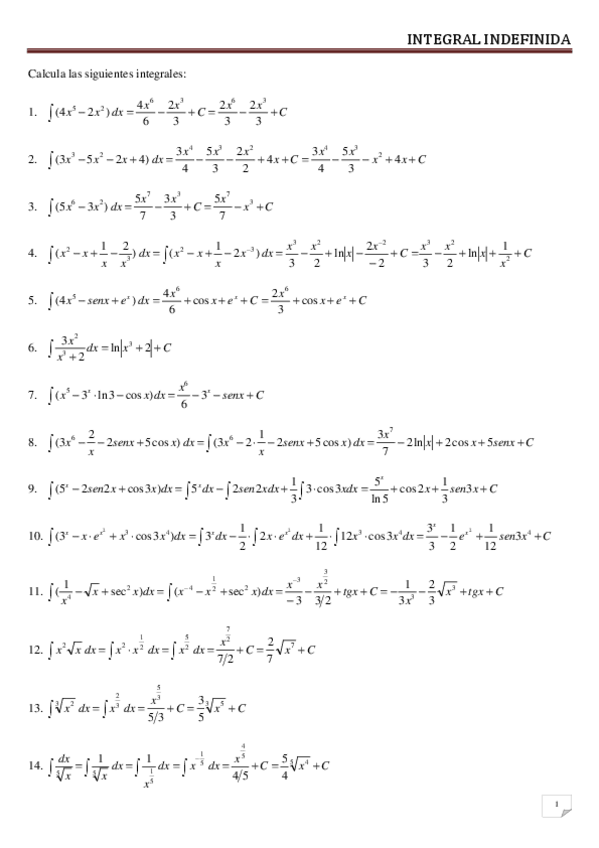
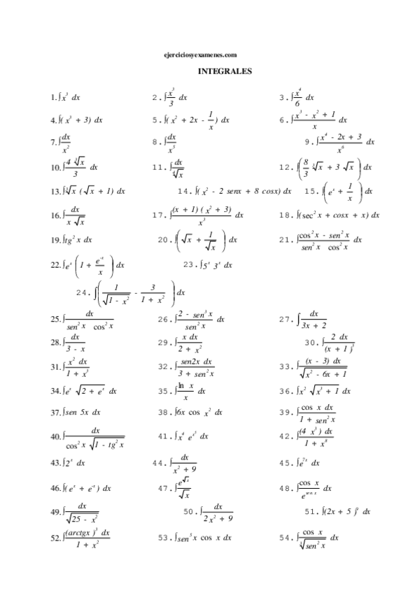
Recopilación EBAU ANÁLISIS (integrales)

He publicado nuevos apuntes de Matemáticas II: Recopilación EBAU ANÁLISIS (integrales)

117-integrales-resueltas-paso-a-paso.pdf
Integrales-indefinidas-resueltas-hasta-cambio-de-variable.pdf
TEORIA-integrales-mas-ejercicios-EBAU-ANALISIS-pdf.pdf
200-integrales-inmediatas-y-cuasi-inmediatas-con-sol.pdf
tabla-de-integrales-indefinidas.pdf

apuntes

-

Recopilación EBAU ANÁLISIS (Derivadas 2)

He publicado nuevos apuntes de Matemáticas II: Recopilación EBAU ANÁLISIS (Derivadas 2)

2.pdf
Ejercicios-optimizacion-ultimos-anos-ulpgc.pdf
Ejercicios-optimizacion-con-soluciones.pdf
ejercicios-representacion-funciones.pdf

apuntes

-

recopilación EBAU ANÁLISIS (derivadas)

He publicado nuevos apuntes de Matemáticas II: recopilación EBAU ANÁLISIS (derivadas)

2.pdf
binomionewton.pdf
Derivada-de-una-funcion-en-un-punto.pdf
ejercicios-de-derivadas.pdf
4.pdf

apuntes

-

Recopilación EBAU ÁLGEBRA

He publicado nuevos apuntes de Matemáticas II: Recopilación EBAU ÁLGEBRA

Algebra-ejercicios-con-sol.pdf
EBAU-RESUELTO-ALGEBRA.pdf
Ejercicios-ALGEBRA-EBAU-con-solucion-TODA-ESPANA.pdf
EBAU-ulpgc-Matrices-y-determinantes-sin-sistemas.pdf

apuntes

-

Biología EBAU RECOPILACIÓN DE PREGUNTAS

He publicado nuevos apuntes de Biología: Biología EBAU RECOPILACIÓN DE PREGUNTAS

ALGUNAS-PREGUNTAS-EBAU-SOBRE-MUTACIONES.pdf
BLOQUE-II.pdf
DOCUMENTO-BASE.pdf
EBAU-SOLO-CICLO-CELULAR.pdf
7183BIO-NEW-DUC-2018.pdf
EBAU-METABOLISMO-2.pdf

apuntes

-

Biología 2º Bach tema 9 (microbiología)

He publicado nuevos apuntes de Biología: Biología 2º Bach tema 9 (microbiología)

VIRUS.pdf
MICRORGANISMOS-BACTERIAS-Y-VIRUS.pdf

apuntes

-

Biología 2º Bach tema 8 (genética)

He publicado nuevos apuntes de Biología: Biología 2º Bach tema 8 (genética)

PRESENTACION-GENETICA-MOLECULAR-ABREVIADA.pdf
PROBLEMAS-DE-GENETICA.pdf
PRESENTACION-MUTACIONES-breve.pdf
PRESENTACION-BIOTECNOLOGIA.pdf

apuntes

-

Biología 2º Bach tema 7 (citología 3)

He publicado nuevos apuntes de Biología: Biología 2º Bach tema 7 (citología 3)

ciclocelular.pdf

apuntes

-

Biología 2º Bach tema 7 (citología 2)

He publicado nuevos apuntes de Biología: Biología 2º Bach tema 7 (citología 2)

METABOLISMO-EXPOSICION.pdf

apuntes

-

Biología 2º Bach tema 7 (citología 1)

He publicado nuevos apuntes de Biología: Biología 2º Bach tema 7 (citología 1)

TEMA-8.pdf
TEMA-8.pdf
PRESENTACION-CELULA-RESUMEN.pdf