@ddrenzzo

Estudios: Grado en Derecho (UB) ...Mostrar más

Bio: espero poder ayudar un poco con mis apuntes :))

12 Publicaciones

157 Interacciones

1 Seguidores

0 Siguiendo

Lista de publicaciones de ddrenzzo

Time tenses: explanation + examples.

18 páginas

Apuntes en inglés con ejemplos sobre: LESS, FEWER, NOT MUCH, NOT MANY.

12 páginas

Apunts sobre la derivació, els parònims i els homònims en català. Et poden ajudar a resoldre els excercicis sobre aquest tema. Inclueix exemples.

5 páginas

Es posible que este año cambien las lecturas prescriptivas. De todas formas, este esquema ayuda a comprender la composición y la relación que existe entre los personajes.

1 página

Apuntes completos en castellano sobre el texto descriptivo: ¿qué es? ¿como describir personas y lugares?

2 páginas

Apuntes de morfología. Explicado en castellano y con ejemplos útiles. Perfecto para todo bachillerato y para las PAU.

7 páginas

Apuntes de Historia del segundo bloque. Incluye "la 2a República", "la Guerra Civil", "el franquisme" i "la trnasició i la democràcia" en catalán.

55 páginas

Apuntes completos de Geografia en catalán. Incluye todos los temas para prepararse las PAU.

95 páginas

Documento con las 36 figuras retoricas en castellano, categorizados por semejanza.

2 páginas

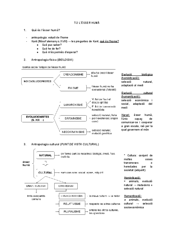
Apuntes completos de Filosofia en catalán. Incluye todos los temas de primero de bachillerato.

15 páginas

Apuntes completos de Historia del Món Contemporani en catalán. Incluye todos los temas.

27 páginas

Apuntes de Funcionament de l'Empresa del 2023 completo, incluye los 4 bloques en catalán.

59 páginas