@Hp301

Estudios: Bachillerato ...Mostrar más

34 Publicaciones

353 Interacciones

0 Seguidores

0 Siguiendo

Lista de publicaciones de Hp301

He publicado nuevos apuntes de 2º Química: Enlace-quimico.pdf

12 páginas

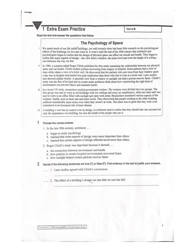
He publicado nuevos apuntes de 2º Inglés II: 1-Extra-Exam-Practice-reading.pdf

2 páginas

He publicado nuevos apuntes de 4º Biología y Geología: Resumen-EvoluciAn.pdf

6 páginas

He publicado nuevos apuntes de 4º Biología y Geología: GenActica-molecular.pdf

4 páginas

He publicado nuevos apuntes de 4º Biología y Geología: GenActica-mendeliana.pdf

5 páginas

He publicado nuevos ejercicios de 1º Lengua Castellana y Literatura I: MECANISMOS DE FORMACIÓN DE PALABRAS Y TIPOS DE LÉXICO.pdf

9 páginas

He publicado nuevos ejercicios de 1º Lengua Castellana y Literatura I: EL CONCEPTO DE SECUENCIA TEXTUAL.pdf

6 páginas

He publicado nuevos apuntes de 1º Lengua Castellana y Literatura I: El-texto-expositivo.-Estructuras-logicas-y-rasgos-linguisticos-de-la-exposicion-1.pdf

6 páginas

He publicado nuevos apuntes de 1º Física y Química: Tabla periódica valencias.pdf

2 páginas

He publicado nuevos apuntes de 1º Física y Química: FICHA-repaso-Formulacion-inorganica-4oESO.pdf

3 páginas

He publicado nuevos apuntes de 2º Biología II: Las-Proteinas.pdf

43 páginas

He publicado nuevos apuntes de 2º Biología II: LOS-LIPIDOS.pdf

33 páginas

He publicado nuevos ejercicios de 2º Biología II: Glúcidos.pdf

2 páginas

He publicado nuevos ejercicios de 2º Biología II: Soluciones.pdf

3 páginas

He publicado nuevos apuntes de 2º Biología II: Los-Glucidos.pdf

49 páginas

He publicado nuevos ejercicios de 2º Biología II: Glúcidos.pdf

3 páginas

He publicado nuevos ejercicios de 2º Biología II: Bioelementos y biomoléculas.pdf

2 páginas

He publicado nuevos apuntes de 2º Biología II: TEMA-1.-LOS-BIOELEMENTOS-EL-AGUA-Y-LAS-SALES-MINERALES..pdf

58 páginas

He publicado nuevos apuntes de 2º Biología II: TEMA-0.-CONCEPTOS-QUIMICOS-Y-ENLACES..pdf

14 páginas

He publicado nuevos apuntes de 2º Química: Sistema periódico.pdf

9 páginas