@ingemeow

Bio: Bombardean universidad Alcalá

43 Publicaciones

933 Interacciones

3 Seguidores

4 Siguiendo

Lista de publicaciones de ingemeow

He publicado nuevos apuntes de 2º Ingeniería Térmica: Prueba-1-y-2-termica.pdf

4 páginas

He publicado nuevos apuntes de 1º Cálculo I: Calculo-I-Todo-el-curso.pdf

198 páginas

He publicado nuevos apuntes de 2º Ecuaciones Diferenciales: Ecuaciones-Diferenciales-guia-prueba3.pdf

2 páginas

He publicado nuevos apuntes de 1º Cálculo I: Funciones-Calculo-I.pdf

2 páginas

He publicado nuevos apuntes de 1º Química Orgánica e Inorgánica: Apuntes-inorganica-con-los-que-aprobe--examen-2023-resuelto.pdf

10 páginas

He publicado nuevos examenes de 1º Química Orgánica e Inorgánica: PARCIAL20222023-inorganica.pdf

2 páginas

He publicado nuevos apuntes de 1º Química Orgánica e Inorgánica: Quimica-organica-apuntes--ejercicios-resueltos.pdf

49 páginas

ejercicios

-

Cálculo II ejercicios

He publicado nuevos ejercicios de 1º Cálculo II: Cálculo II ejercicios

Calculo-Il-hoja-3.pdf

He publicado nuevos apuntes de 1º Expresión Gráfica: tolerancias-guia.pdf

1 página

apuntes

-

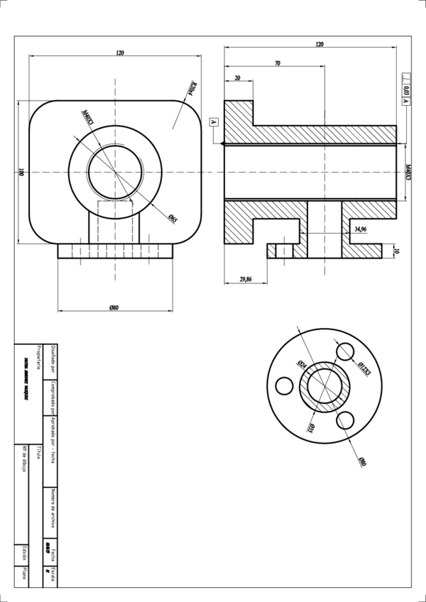
practicas autocad,resueltass

He publicado nuevos apuntes de 1º Expresión Gráfica: practicas autocad,resueltass

pieza-7.pdf
PIEZA-6.pdf
pieza-1.pdf
Figura-4.pdf
pieza-3.pdf

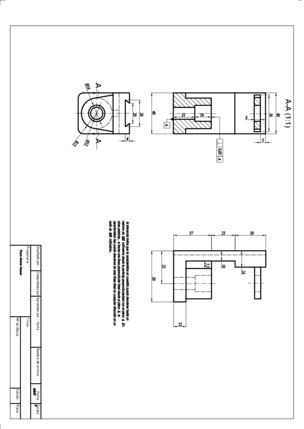
examenes

-

Examenes autocad 2023-24

la PEI 1 resuelta tiene una valoracion de 9/10 y la segunda 9.5/10

Miniatura no disponible
ENUNCIADO-PEI-2.dwg
Resolucion-PEI2.pdf
PEI1-RESOLUCION.pdf
Miniatura no disponible
PEI1.dwg

He publicado nuevos apuntes de 1º Química General: TODO-QUIMICA-todos-los-ejes-hechos.pdf

94 páginas

He publicado nuevos apuntes de 1º Física I: Fisica-temas-de-teoria-termodinamica.pdf

6 páginas

He publicado nuevos apuntes de 1º Expresión Gráfica: TEMA-2-TOLERANCIAS-APUNTES.pdf

15 páginas

He publicado nuevos examenes de Inglés: Ingles-evau-ciencias-20232022.pdf

4 páginas

He publicado nuevos apuntes de Lengua Castellana y Literatura II: Evau-lengua-202322-madrid-ciencias.pdf

2 páginas

He publicado nuevos apuntes de Historia de España: Examen-evau-historia-202322-ciencias-madrid.pdf

2 páginas

He subido una plantilla para los comentarios de texto de lengua!! Pasar a verla en mi perfil

apuntes

-

Lengua-Comentarios

He publicado nuevos apuntes de Lengua Castellana y Literatura II: Lengua-Comentarios

plantilla-para-comentarios-de-texto.pdf

apuntes

-

Writing tips

Pautas para hacer writings de 10 para la evau

Essay.pdf
Writing-Evau-guia.pdf
FOR-AND-AGAINST-ESSAY-tips.pdf
Ejemplos-de-writings-para-evau.pdf
Plantilla-writing-Evau.pdf