@iraia_1

Estudios: Higiene Bucodental ...Mostrar más

74 Publicaciones

322 Interacciones

7 Seguidores

5 Siguiendo

Lista de publicaciones de iraia_1

apuntes

-

Quimica II

Ejercicios, examenes...

Ejercicio-pH.pdf
Redox-selectividad-ejercicio-resuelto.pdf
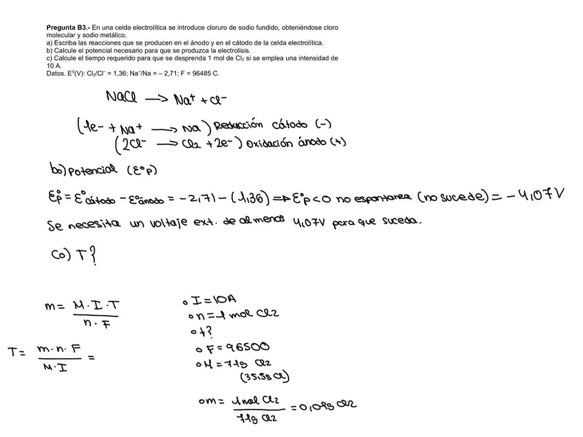
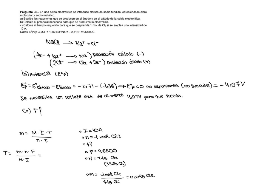
Celda-electrolitica-ejercicios-resueltos.pdf

apuntes

-

Lengua castellana II

He publicado nuevos apuntes de 2º Lengua Castellana y Literatura II: Lengua castellana II

Lengua-modelo-examen-Machado.pdf
Generacion-del-27-y-la-casa-de-Bernarda-Alba.pdf
Resumen-de-Apuntes-de-generacion-del-27-y-la-casa-de-Bernarda-Alba.pdf
Literatura-Global-I.pdf
Guion-bodas-de-sangre.pdf
Tiempos-verbales-2Batx.pdf

apuntes

-

Euskera Ariketak

He publicado nuevos apuntes de 2º Lengua Vasca y Literatura II: Euskera Ariketak

Euskera-perpaus-kontzesiboak.pdf

apuntes

-

Matemáticas II (apuntes Ipad + ejercicios resueltos)

He publicado nuevos apuntes de 2º Matemáticas II: Matemáticas II (apuntes Ipad + ejercicios resueltos)

Integrales-indefinidas-apuntes-ipad.pdf
Resolucion-de-sistemas-apuntes-ipad.pdf

apuntes

-

Ingles II

He publicado nuevos apuntes de 2º Inglés II: Ingles II

Reported-Speech-Exercise.pdf
I.-STATEMENTS-QUESTIONS-ORDERS-REQUESTS-OFFERS-and-SUGGESTIONS.pdf
Vocabulary-febrero.pdf
I.-STATEMENTS-QUESTIONS-ORDERS-REQUESTS-OFFERS-and-SUGGESTIONS.pdf
EX.-1-Impersonal-Passive.pdf
Exercise-1-Passives.pdf

apuntes

-

Historia de España

He publicado nuevos apuntes de 2º Historia de España: Historia de España

Diferencias-entre-moderados-y-progresistas.pdf
DEFINICIONES-HISTORIA-DE-ESPANA-Global-I.pdf
Preguntas-historia-para-practicar-1ra-evaluacion.pdf
Resumen-ley-ferrocarriles.pdf
Preguntas-reformismo-primeros-borbones.pdf
Comentarios-febrero.pdf

apuntes

-

Biologia II

Apuntes de Biologia de 2do de bachillerato para selectividad (pais vasco)

TEMA-7-Acidos-nucleicos.pdf
Tema-19-biologia-II.pdf
TEMA-15-Mutacion-y-evolucion.pdf
Tema-12-biologia-II.pdf
TEMA-10-Organulos-celulares.pdf
Tema-4-Lipidos-esquematizado.pdf

apuntes

-

Filosofía I

Filosofía de 1ro de bachillerato

FILO-TEMA-2-Y-3.pdf
El-nino-con-el-pijama-de-rayas-Trabajo.pdf
Filo-tema-5.pdf
Filo-tema-6.pdf
NIETZSCHE-Trabajo.pdf

apuntes

-

Historia de la Filosofía (II)

He publicado nuevos apuntes de 2º Historia de la Filosofía: Historia de la Filosofía (II)

Sobre-los-sofistas.pdf

He publicado nuevos apuntes de 2º Biología II: Meiosis.pdf

2 páginas

He publicado nuevos apuntes de 2º Biología II: Mitosis.pdf

4 páginas

He publicado nuevos apuntes de 2º Matemáticas II: EjemplosMatrices.pdf

1 página

He publicado nuevos apuntes de 2º Historia de la Filosofía: Tareas-aristoteles.pdf

4 páginas

He publicado nuevos apuntes de 2º Historia de España: Puntos-1-y-2-de-la-Ley-de-Ferrocarriles..pdf

3 páginas

He publicado nuevos apuntes de 2º Lengua Castellana y Literatura II: Resumen-Historia-de-una-escalera.pdf

5 páginas

apuntes

-

Euskera

He publicado nuevos apuntes de 2º Lengua Vasca y Literatura II: Euskera

Iritzi-testua-Teoria.pdf