@isssaa___

Bio: Estudiante. Comparto apuntes claros, resúmenes y esquemas hechos a partir de mis propios estudios, pensados para entender y no solo memorizar. Si te ayudan, me alegro

95 Publicaciones

7 Interacciones

0 Seguidores

11 Siguiendo

Lista de publicaciones de isssaa___

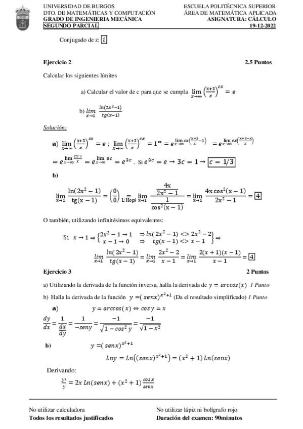
2ºCONVOCATORIA_2ºPARCIAL máxima y cálculo

4 páginas

2ºCONVOCATORIA_1ºPARCIAL máxima y cálculo

4 páginas

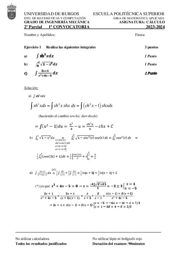
2º Parcial__1ª CONVOCAT máxima y cálculo

4 páginas

1º Parcial máxima y calculo

6 páginas

1º Parcial__1ª CONVOCAT 2022 máxima y calculo

5 páginas

resumen de los 2 temas juntos

word

Práctica corregida

word

método DIDAC comentarios de texto

5 páginas

Rúbrica comentario de texto

1 página

examen parcial

3 páginas

COMO HACER UN COMENTARIO DE UNA VIÑETA

word

examen parcial

word

Linea del tiempo de todos los temas historia social y económica ADE

word

ficha tema 4

1 página

resumen ejercicios tema 3

7 páginas

tabla y derivadas tema 3

10 páginas

Hoja tema 1 resuelta

word

Funciones de varias variables

8 páginas

práctica 9 resuelta

word

práctica 10 resuelta

word