@La_mat3maquina

Estudios: ESO ...Mostrar más

Bio: Carrera en ciencias ambientales, actualmente trabajando en una academia dando refuerzo de de mates y FyQ, a punto de terminar el master de educación.

20 Publicaciones

90 Interacciones

0 Seguidores

0 Siguiendo

Lista de publicaciones de La_mat3maquina

ejercicios

-

Límites de funciones

Ejercicios de límites de funciones (rango difíci)/ Infinitésimos y indeterminaciones complicadas

Ejercicios-de-limites.pdf

apuntes

-

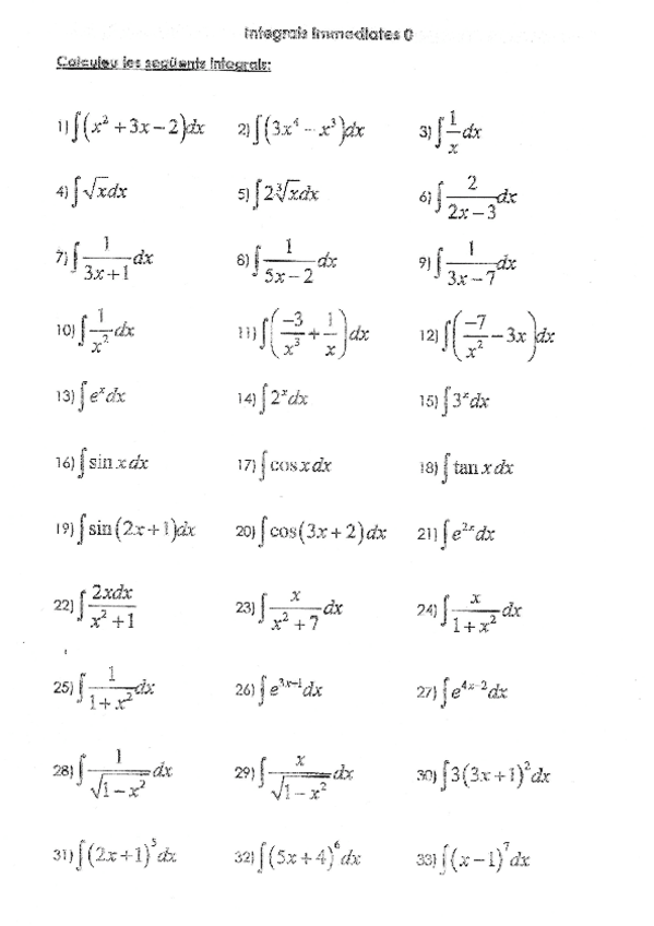
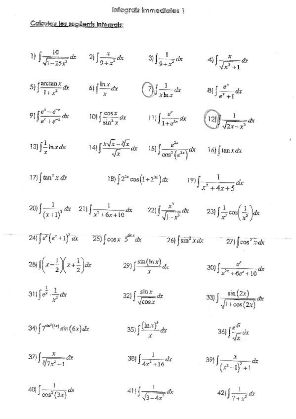
Integrales

Resumen y realización de integrales racionales (todo tipo)

Resumen-integrales-racionales.pdf
integrales-nivel-0-resueltas.pdf
integrales-nivel-1-resueltas.pdf
Exercicios-de-integrales-de-todo-tipo-resueltas.pdf

apuntes

-

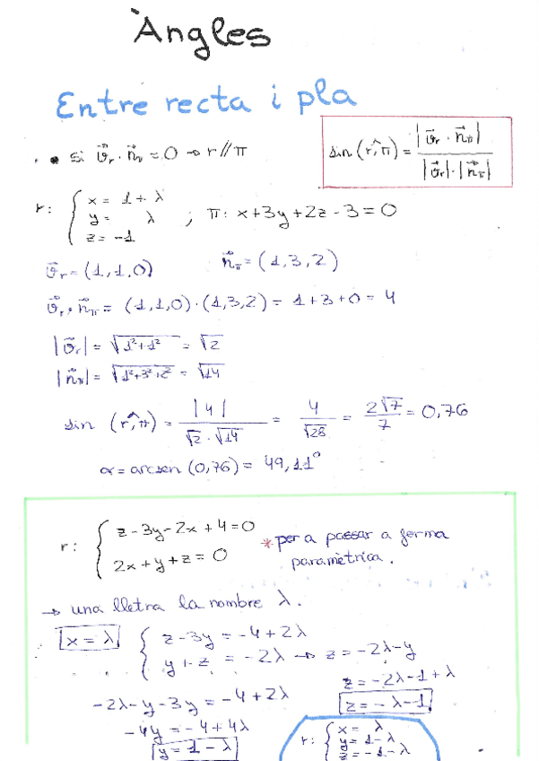
Geometría

Resumen del tema de geometría

resumen-geometria.pdf
resumen-posiciones-relativas-de-rectas-y-planos-sin-hacer-rangos.pdf
resumen-posicion-relativa-de-rectas-y-planos-mediante-rangos.pdf

apuntes

-

Probabilidad

Resumen tema probabilidad (con todas la fórmulas)

resumen-probabilidad.pdf

He publicado nuevos apuntes de 1º Física y Química: examen-cinematica-resuelto-al-final.pdf

4 páginas

apuntes

-

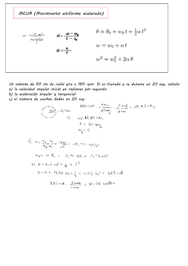
Cinemática

Resumen fórmulas con ejercicios tipo de cada movimiento

caida-libre.pdf
lanzamiento-vertical.pdf
MCU-movimiento-circular-uniforme.pdf
MCUA-movimiento-circular-uniforme-acelerado.pdf
resumen-MRU-i-MRUA.pdf
tiro-horizontal.pdf