@lopedevega33

12 Publicaciones

57 Interacciones

0 Seguidores

2 Siguiendo

Lista de publicaciones de lopedevega33

He publicado nuevos apuntes de 2º Lengua Castellana y Literatura II: EL-CUARTO-DE-ATRASApuntes.pdf

7 páginas

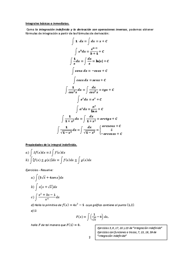
He publicado nuevos apuntes de 2º Matemáticas II: 4.-ANALISIS-1a-PARTE.pdf

37 páginas

He publicado nuevos apuntes de 2º Matemáticas II: 5.-ANALISIS-2a-PARTE.pdf

9 páginas

He publicado nuevos apuntes de 2º Matemáticas II: 6.-ANALISIS-3a-PARTE.pdf

12 páginas

He publicado nuevos apuntes de 2º Matemáticas II: Resumen-Probabilidad-y-Teorema-de-bayes.pdf

1 página

He publicado nuevos apuntes de 2º Matemáticas II: Resumen-Binomial-y-Normal.pdf

1 página

He publicado nuevos apuntes de 2º Matemáticas II: Tabla-de-la-normal.pdf

1 página

He publicado nuevos apuntes de Lengua Castellana y Literatura II: POESIA-DE-LA-DICTADURA-ANOS-40-70.pdf

4 páginas

He publicado nuevos apuntes de Lengua Castellana y Literatura II: NOVELA-S.XIX.docx-3.pdf

6 páginas

He publicado nuevos apuntes de Lengua Castellana y Literatura II: Teatro-del-1939-a-nuestros-dias.pdf

3 páginas

He publicado nuevos apuntes de Lengua Castellana y Literatura II: Teatro-durante-dictadura.pdf

2 páginas

He publicado nuevos apuntes de Lengua Castellana y Literatura II: Teatro-s.XX-hasta-1939.pdf

2 páginas