@luciapadillaa24

34 Publicaciones

386 Interacciones

0 Seguidores

1 Siguiendo

Lista de publicaciones de luciapadillaa24

He publicado nuevos apuntes de Historia de la Filosofía: filosofia.pdf

7 páginas

He publicado nuevos apuntes de Historia de la Filosofía: teoria-descartes.pdf

3 páginas

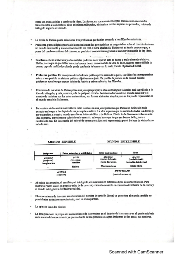
He publicado nuevos apuntes de Historia de la Filosofía: platon.pdf

7 páginas

He publicado nuevos apuntes de Historia de la Filosofía: comparacion-descartes-con-ortega-y-gasset.pdf

3 páginas

apuntes

-

COMENTARIOS DE TEXTO LENGUA 2 BACH

He publicado nuevos apuntes de Lengua Castellana y Literatura II: COMENTARIOS DE TEXTO LENGUA 2 BACH

base-comentario-de-texto-TEATRO.pdf
base-comentario-de-texto-TEATRO.pdf
base-comentario-de-texto-TEATRO.pdf
base-comentario-de-texto-PERIODISTICO.pdf
base-comentario-de-texto-PERIODISTICO.pdf
base-comentario-de-texto-PERIODISTICO.pdf

holaa;) espero que os haya ido muy bien el primer trimestre. En mi perfil tenéis apuntes de historia del arte, una asignatura muy bonita pero muy tediosa a la vez, por lo que espero que con mis apuntes se os haga mucho mas ameno. Tenéis los apuntes en esta semana o la siguiente. En estos días subiré de mas asignaturas.

apuntes

-

APUNTES HISTORIA DEL ARTE 2 BACH

He publicado nuevos apuntes de 2º Historia del Arte: APUNTES HISTORIA DEL ARTE 2 BACH

tema1.-arte-griego-ARQUITECTURA.pdf
tema1.arte-griego.la-escultura-griega-ESCULTURA.pdf
tema2.-arte-romano.pdf
comentario-obras.-tema2..pdf
tema3.-arte-paleocristiano-y-bizantino.pdf
comentario-obras-tema-3.pdf