@mandarin_a

23 Publicaciones

412 Interacciones

3 Seguidores

1 Siguiendo

Lista de publicaciones de mandarin_a

He publicado nuevos apuntes de 1º Empresa y Economía Industrial: TABLA-RATIOS.pdf

1 página

He publicado nuevos apuntes de 1º Empresa y Economía Industrial: Apuntes-2n-Parcial.pdf

25 páginas

He publicado nuevos apuntes de 1º Empresa y Economía Industrial: Apuntes-1r-Parcial.pdf

33 páginas

He publicado nuevos apuntes de 1º Química: resumen_todas_las_reacciones_2n_parcial.pdf

6 páginas

He publicado nuevos examenes de 1º Química: guia_para_resolver_problemas_1r_parcial.pdf

3 páginas

apuntes

-

Apuntes Mates II

He publicado nuevos apuntes de 1º Matemáticas II: Apuntes Mates II

t1-Matrius.pdf
t3-Aplicacions-lineals.pdf
t4-Espais-Euclidians.pdf
t5-Diagonalitzacio-matrius-quadrades.pdf
t6-Formes-Quadratiques.pdf
t7-Forma-Canonica-Jordan.pdf

apuntes

-

Apuntes Mates I

He publicado nuevos apuntes de 1º Matemáticas I: Apuntes Mates I

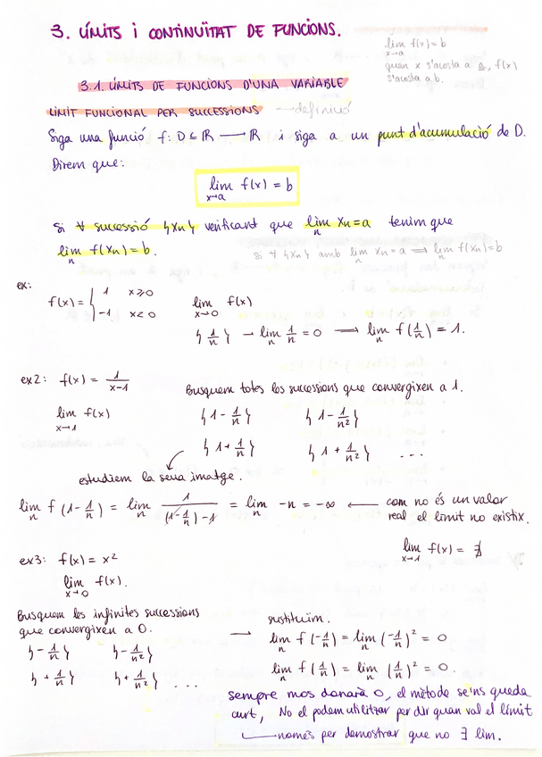
t3-Limits-i-continuïtat-de-funcions.pdf
t4-Diferenciabilitat-funcions-1-variable.pdf
t5-Diferenciabilitat-funcions-diverses-variables.pdf
t6-Funcions-integrables.pdf
t7-Integrals-dobles-i-triples.pdf
t8-Màxims-i-mínims-Punts-extrems.pdf