@Marioxki00

15 Publicaciones

249 Interacciones

1 Seguidores

0 Siguiendo

Lista de publicaciones de Marioxki00

He publicado nuevos apuntes de 1º Urbanismo I: ESTUARIO-DEL-GUADALQUIVIR.pptx

powerpoint

He publicado nuevos practicas de 1º Construcción I: LABORATORIO.docx

word

apuntes

-

TEORÍA COMPLETA CONSTRUCCIÓN 1

He publicado nuevos apuntes de 1º Construcción I: TEORÍA COMPLETA CONSTRUCCIÓN 1

TEORIA-ELEMENTOS-DE-RELACION.pdf
TEORIA-ESTRUCTURAS.pdf
TEORIA-AISLAMIENTO-TERMICO.pdf
TEORIA-ACONDICIONAMIENTO-TERMICO.pdf
TEORIA-DEMANDA-ENERGETICA.pdf
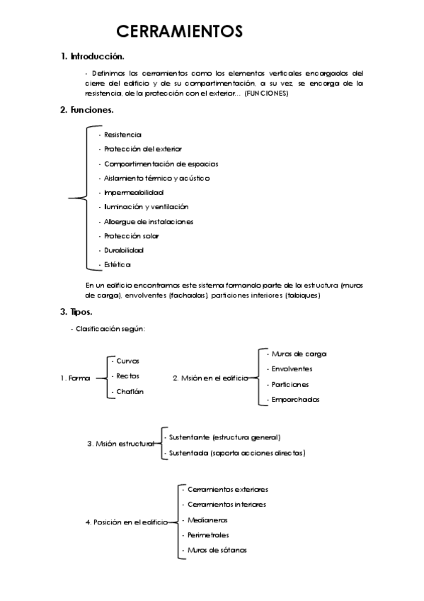
TEORIA-CERRAMIENTOS-Y-PARTICIONES.pdf