@MARM_LOL

Bio: Estudiante de Física y Matemáticas en la UA.

83 Publicaciones

1.47k Interacciones

6 Seguidores

1 Siguiendo

Lista de publicaciones de MARM_LOL

Resumen de la asignatura

7 páginas

Final 2023 resuelto de la asignatura programación lineal

10 páginas

practicas

-

Practicas de ordenador

Prácticas de ordenador curso 2024-2025. Esta asignatura se llama ahora fisica nuclear y de particulas

Nuclearphysics1.pdf
Nuclearphysics2.pdf

practicas

-

Practicas de ordenador

Informes de las practicas de ordenador de medios continuos

PRACTICA1.pdf
PRACTICA1MEDIOSCONTINUOSINVESTIGA.pdf
PRACTICA2MEDIOSCONTINUOS.pdf
PRACTICA3MEDIOSCONTINUOS.pdf
Informe-practica-4.pdf

ejercicios

-

Ejercicios entregables

Ejercicios resueltos que hay que entregar en la asignatura Medios Continuos

Entregable-tema-1.pdf
Entrega-tema-2.pdf
Entregable-tema-3.pdf

practicas

-

Informes bloques 1 y 2

Informes de los bloques 1 y 2

Informe-Bloque-2.pdf
Informe-Bloque-1.pdf

ejercicios

-

Ejercicios resueltos

Ejercicios de las hojas y examenes resueltos (hay algunos que no estan resueltos))

Tema-1-ejercicios-ecuaciones.pdf
Tema-2-ejercicios-ecuaciones.pdf
Tema-3-ejercicios-ecuaciones.pdf
Tema-4-ejercicios-ecuaciones.pdf
Examenes-resueltos-ecuaciones.pdf

examenes

-

Examenes resueltos

Examenes resueltos de Estructuras Algebraicas

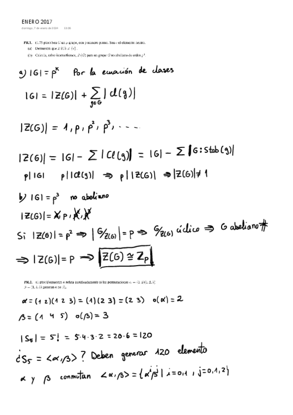
ENERO-2017.pdf
ENERO-2018.pdf
ENERO-2020.pdf
ENERO-2021.pdf
ENERO-2022.pdf
JULIO-2016.pdf

examenes

-

Examenes resueltos

Examenes resueltos (separados segun el parcial)

EJERCICIOS-DE-EXAMEN-1er-parcial.pdf
EJERCICIOS-DE-EXAMEN-2do-parcial.pdf

ejercicios

-

Ejercicios resueltos (Hojas)

Hojas de ejercicios de cada tema resueltas

EJERCICIOS-TEMA-1-MCEDO.pdf
EJERCICIOS-TEMA-2-MCEDO.pdf
EJERCICIOS-TEMA-3-MCEDO.pdf
EJERCICIOS-TEMA-4-MCEDO.pdf
EJERCICIOS-TEMA-5-MCEDO.pdf
EJERCICIOS-TEMA-6-MCEDO.pdf

ejercicios

-

Ejercicios resueltos (hojas, examenes...))

Hojas de MAEDO resueltas y examenes resueltos

EXAMENES-MAEDO.pdf
HOJA-2-MAEDO.pdf
HOJA-3-MAEDO.pdf
HOJA-4-MAEDO.pdf
HOJA-5-MAEDO.pdf
HOJA-7-MAEDO.pdf