@mucapa75

Bio: Estudiante que sube apuntes para la realizacion de la PAU de 2 Bachillerato tal y como lo piden

78 Publicaciones

1.04k Interacciones

38 Seguidores

0 Siguiendo

Lista de publicaciones de mucapa75

Todo el Tema 11 de Biología a cerca de las Enzimas y Catabolismo

15 páginas

apuntes

-

Tema 11. La Dictadura Franquista (1939 - 1975)

Apuntes del Tema 11 de Historia de España

11.1.-El-franquismo.-Fundamentos-ideologicos-del-regimen-franquista-en-el-contexto-historico-europeo..pdf
11.2.-Institucionalizacion-del-regimen.-Relaciones-internacionales-y-etapas-politicas..pdf
11.3.-Transformaciones-sociales-y-economicas..pdf
11.4.-La-represion-el-exilio-y-los-movimientos-de-protesta-contra-la-dictadura.-La-cultura-durante-el-Franquismo-en-Espana-y-en-el-exilio..pdf

apuntes

-

Tema 10. La Guerra Civil (1936 - 1939)

Apuntes del Tema 10 de Historia de España

10.1.-La-Guerra-Civil-aproximacion-a-la-historiografia-sobre-el-conflicto.-Desarrollo-de-la-guerra-y-consecuencias..pdf
10.2.-Evolucion-politica-y-economica-en-las-dos-zonas.-La-dimension-internacional-del-conflicto..pdf

Todo el Tema 8 de Literatura acerca de La Novela Española a partir de 1975. La Renovación en la Novela.

1 página

Todo el Tema 7 de Literatura acerca de La Novela Española desde 1939 a 1975.

1 página

Todo el Tema 6 de Literatura acerca de La Lírica y el Teatro Posteriores a 1936.

1 página

Todo el Tema 5 de Literatura acerca de La Generación del 27: características y trayectoria poética. El teatro lorquiano.

1 página

Todo el Tema 6 de Química sobre las Reacciones De Transferencia De Protones. Ácido – Base

9 páginas

apuntes

-

Tema 9. La Segunda República (1931-1936)

Apuntes del Tema 9 de Historia de España

9.1.-La-proclamacion-de-la-Segunda-Republica-el-Gobierno-provisional-y-la-Constitucion-de-1931.-El-sufragio-femenino..pdf
9.2.-El-bienio-reformista-reformas-estructurales-y-realizaciones-sociales-culturales-y-territoriales.-Reacciones-desde-los-diversos-posicionamientos..pdf
9.3.-El-bienio-de-la-CEDA-y-del-Partido-Radical.-El-Frente-Popular.-Desordenes-publicos.-Violencia-y-conflictos-sociales..pdf

apuntes

-

Tema 8. El Reinado de Alfonso XIII (1902-1931)

Apuntes del Tema 8 de Historia de España

8.1.-La-Crisis-de-la-Restauracion-Intentos-Regeneradores-y-Oposicion-al-Regimen..pdf
8.2.-El-Impacto-de-los-Acontecimientos-Internacionales-Marruecos-la-Primera-Guerra-Mundial-y-la-Revolucion-Rusa..pdf
8.3.-La-dictadura-de-Primo-de-Rivera-y-el-final-del-reinado-de-Alfonso-XIII..pdf

apuntes

-

Tema 7. Transformaciones Económicas y Sociales del Siglo XIX

Apuntes del Tema 7 de Historia de España

7.1.-La-Evolucion-de-la-Poblacion-y-de-las-Ciudades.-De-la-Sociedad-Estamental-a-la-Sociedad-de-Clases..pdf
7.2.-Las-Desamortizaciones.-La-Espana-Rural-del-Siglo-XIX.-Industrializacion-comercio-y-comunicaciones..pdf

ejercicios

-

Bloque 4: Probabilidad. Ejercicios de EVAU

Ejercicios que han caído en la EVAU para practicar

Ejercicios-de-EVAU-de-Probabilidad.pdf
Ejercicios-de-EVAU-de-Estadistica.pdf

apuntes

-

Bloque 4: Probabilidad

Todos los Apuntes del Bloque 4 con ejercicios incluidos

Probabilidad.pdf
Distribuciones-Binomial-y-Normal.pdf

ejercicios

-

Bloque 2: Álgebra. Ejercicios de EVAU

Ejercicios que han caído en la EVAU para practicar

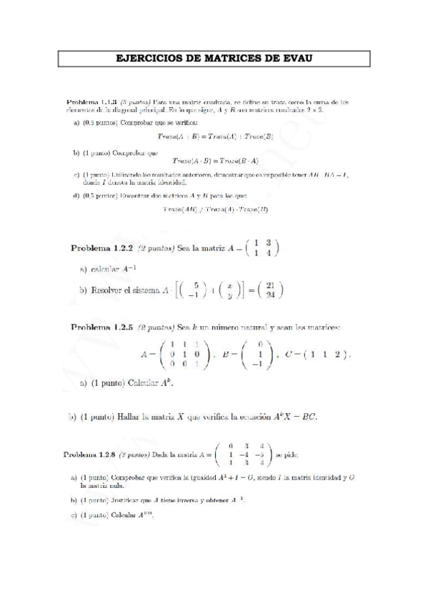
Ejercicios-de-matrices-de-EVAU.pdf
Ejercicios-de-determinantes-de-EVAU.pdf
Ejercicios-de-sistemas-de-ecuaciones-de-EVAU.pdf

apuntes

-

Bloque 2: Álgebra

Todos los Apuntes del Bloque 2 con ejercicios incluidos

Matrices.pdf
Determinantes.pdf
Sistemas-de-Ecuaciones.pdf

ejercicios

-

Bloque 1: Análisis. Ejercicios de EVAU

Ejercicios que han caído en la EVAU para practicar

Ejercicios-de-limites-y-continuidad-de-funciones-de-EVAU.pdf
Ejercicios-de-derivadas-de-funciones-de-EVAU.pdf
Ejercicios-de-aplicaciones-de-la-derivada-de-una-funcion-de-EVAU.pdf
Ejercicios-de-representacion-grafica-de-funciones-de-EVAU.pdf
Ejercicios-de-Integrales-de-EVAU.pdf

apuntes

-

Bloque 1: Análisis

Todos los Apuntes del Bloque 1 con ejercicios incluidos

LIMITES-Y-CONTINUIDAD-DE-FUNCIONES.pdf
DERIVADAS-DE-FUNCIONES.pdf
APLICACIONES-DE-LA-DERIVADA.pdf
REPRESENTACION-GRAFICA-DE-FUNCIONES.pdf
INTEGRALES-INDEFINIDAS.pdf
INTEGRALES-DEFINIDAS.pdf