@NationalDG

Estudios: Comercio Internacional ...Mostrar más

Bio: Estudiante del Primer curso del grado superior de Comercio Internacional. Apuntes buenos, y útiles

17 Publicaciones

1.13k Interacciones

3 Seguidores

0 Siguiendo

Lista de publicaciones de NationalDG

He publicado nuevos apuntes de 2º Lengua Castellana y Literatura II: Cuadro-de-Oraciones-Coordinadas.pdf

1 página

He publicado nuevos apuntes de 1º Matemáticas Aplicadas a las Ciencias Sociales I: ESTADISTICA-UNIDIMENSIONAL-1-BACH-CCSS.pdf

8 páginas

He publicado nuevos apuntes de 2º Matemáticas aplicadas a las Ciencias Sociales II: ESTIMACION-DE-LA-MEDIA-ESTADISTICA-MATES-CCSS-2-BACH.pdf

27 páginas

He publicado nuevos apuntes de 2º Historia de la Filosofía: tema-8-la-modernidad-filosofica-renacimiento-y-racionalismo.pdf

24 páginas

He publicado nuevos apuntes de 2º Historia de la Filosofía: Tema-9-El-empirismo-y-el-Debate-politico-moderno-de-Hume-a-Rousseau.pdf

18 páginas

He publicado nuevos apuntes de 2º Historia de la Filosofía: Tema-10-La-Ilustracion-Immanuel-Kant-y-el-debate-etico-contemporaneo.pdf

18 páginas

He publicado nuevos apuntes de 2º Lengua Castellana y Literatura II: Tema-2-PAU-.-LITERATURA-DE-FIN-DE-SIGLO-LA-GENERACION-DEL-98-Y-EL-MODERNISMO.-LA-NOVELA-Y-EL-TEATRO-ANTERIOR-A-1936..pdf

2 páginas

He publicado nuevos apuntes de 2º Lengua Castellana y Literatura II: TEMA-1-LITERATURA-PAU.-EL-REALISMO.pdf

2 páginas

Tema 3 de la literatura de PAU, EL NOVECENTISMO, MÁS APUNTES EN MI PERFIL. TEMA 1,2,3 , 4 Y MÁS

2 páginas

Guía para realizar un buen comentario de un texto histórico de Historia de España. Revisado por un profesor , por lo que es muy útil para Evau o PAU. Espero que os sirva

5 páginas

He publicado nuevos apuntes de 2º Lengua Castellana y Literatura II: La-literatura-de-fin-de-siglo-la-generacion-del-98-y-el-modernismo.-La-novela-y-el-teatro-anterior-a-1936.-Archivo.pdf

2 páginas

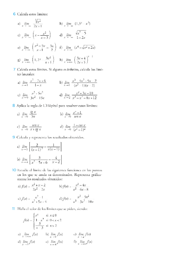
He publicado nuevos apuntes de 2º Matemáticas aplicadas a las Ciencias Sociales II: EJERCICIOS.-Limites-de-funciones.-Continuidad..pdf

6 páginas

He publicado nuevos apuntes de 2º Matemáticas aplicadas a las Ciencias Sociales II: Limites-de-funciones.-Continuidad-2-BACH-CCSS.pdf

12 páginas

He publicado nuevos apuntes de 1º Filosofía: El-Paso-Del-Mito-Al-Logos-Filosofia.pdf

1 página