@padfootslover_

Bio: :b

35 Publicaciones

400 Interacciones

2 Seguidores

6 Siguiendo

Lista de publicaciones de padfootslover_

apuntes

-

Desarrollo HISTORIA ANTIGUA

He publicado nuevos apuntes de 1º Historia Antigua y Medieval: Desarrollo HISTORIA ANTIGUA

tema-0-HISTORIA-ANTIGUA.pdf
desarrollo-1-MESOPOTAMIA.pdf
desarrollo-2-EGIPTO.pdf
desarrollo-3-GRECIA.pdf
desarrollo-4-ROMA.pdf

He publicado nuevos examenes de 1º Iconografía: examen-JUNIO-2025-iconografia.pdf

2 páginas

Aquí dejo los contextos históricos de cada tema para introducir las imágenes del examen.

2 páginas

Este ha sido el examen de Arte Español Medieval en la primera convocatoria de 2025

2 páginas

apuntes

-

Arte Español Medieval

Los apuntes de Arte Español Medieval completos. El tema 5 se divide en dos porque el archivo era demasiado grande.

tema-2-VISIGODO.pdf
tema-3-ASTURIANO.pdf
tema-4-HISPANICO.pdf
tema-5.1.-ARQUITECTURA-ROMANICA.pdf
tema-5.2.-ARQUITECTURA-ROMANICA.pdf
tema-6-ESCULTURA-ROMANICA.pdf

Este ha sido el examen de Arte Cristiano Medieval en la primera convocatoria de 2025

2 páginas

apuntes

-

ARTE CRISTIANO MEDIEVAL: temas de desarrollo

El examen de arte cristiano medieval tiene dos partes: un tema de desarrollo y varias imágenes a comentar. Aquí dejo los temas resumidos listos para desarrollarlos en el examen :) ¡Suerte!

desarrollo-tema-2-PALEOCRISTIANO.pdf
desarrollo-tema-3-BIZANTINO-I.pdf
desarrollo-tema-4-REINOS-BARBAROS.pdf
desarrollo-tema-5-BIZANTINO-II.pdf
desarrollo-tema-6-CAROLINGIO-y-OTONIANO.pdf
desarrollo-tema-7-ROMANICO-I.pdf

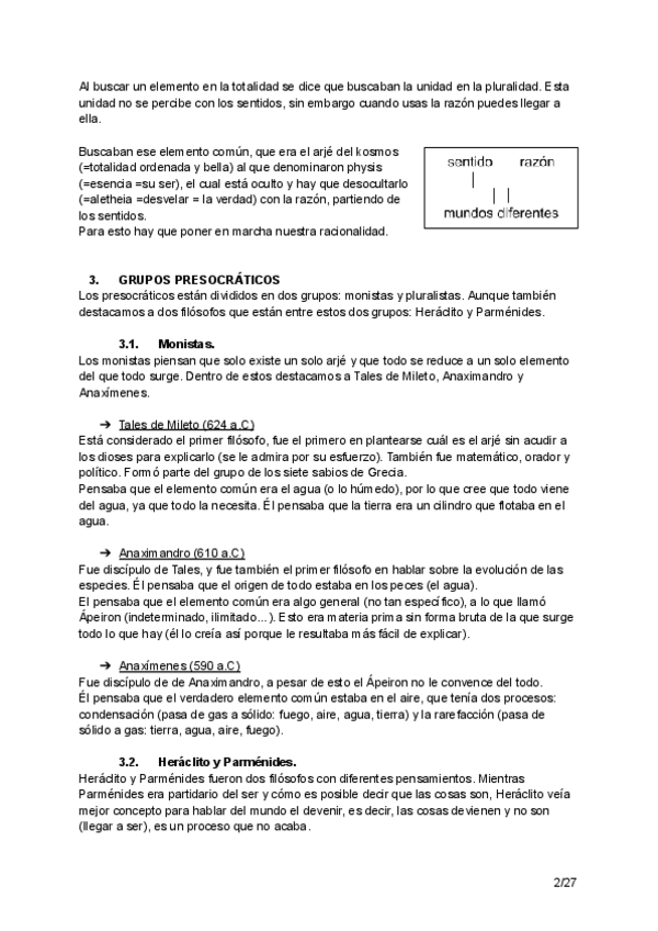
Los apuntes de tooodo el curso de 2º de bachillerato de filosofía. Por si os sirven :)

27 páginas

He publicado nuevos apuntes de 2º Lengua Castellana y Literatura II: desarrollo-POESIA-lengua.pdf

10 páginas

He publicado nuevos apuntes de 2º Lengua Castellana y Literatura II: desarrollo-NOVELA-lengua.pdf

9 páginas

He publicado nuevos apuntes de 2º Lengua Castellana y Literatura II: desarrollo-TEATRO-lengua.pdf

4 páginas

He publicado nuevos apuntes de 2º Historia de España: desarrollo-historia-espana-t-11-y-12.pdf

6 páginas

He publicado nuevos apuntes de 2º Historia de España: desarrollo-historia-espana-t-9-y-10.pdf

8 páginas

Aquí dejo el desarrollo de los temas de Historia de España, resumidos para la PVAU. Saqué un 9 en el examen, el único fallo fue en las preguntas cortas,+.

24 páginas

He publicado nuevos apuntes de 2º Historia de España: desarrollo-historia-espana-t-7-y-8.pdf

6 páginas

Aquí dejo los contextos históricos de cada tema para introducir las imágenes del examen.

4 páginas