@Palasao2

38 Publicaciones

825 Interacciones

2 Seguidores

1 Siguiendo

Lista de publicaciones de Palasao2

He publicado nuevos apuntes de 2º Química Orgánica Biológica: 1.-METABOLISMO-PRIMARIO-Y-SECUNDARIO.-RUTAS-METABOLICAS.pdf

10 páginas

He publicado nuevos apuntes de 2º Química Orgánica Biológica: 5.-RUTA-DEL-ACIDO-MEVALONICO.pdf

20 páginas

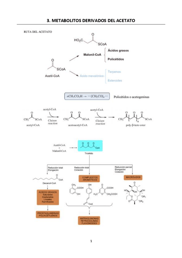
He publicado nuevos apuntes de 2º Química Orgánica Biológica: 3.-METABOLITOS-DERIVADOS-DEL-ACETATO.pdf

17 páginas

He publicado nuevos apuntes de 2º Química Orgánica Biológica: 4.-RUTA-DEL-ACIDO-SHIKIMICO.pdf

11 páginas

He publicado nuevos apuntes de 2º Química Orgánica Biológica: 2.-PRINCIPALES-REACCIONES-PRESENTES-EN-LAS-RUTAS-METABOLICAS.pdf

21 páginas

He publicado nuevos apuntes de 2º Química Orgánica Biológica: 6.-COMPUESTOS-DERIVADOS-DE-AMINOACIDOS.pdf

34 páginas

apuntes

-

Temario completo

He publicado nuevos apuntes de 1º Biología II: Temario completo

9.-Rutas-metabolicas-de-alcaloides.pdf
8.-Rutas-metabolicas-de-terpenos.pdf
7.-Rutas-metabolicas-de-fenoles.pdf
6.-Respiracion.pdf
5.-Transporte-por-el-floema.pdf
4.3.-Fotosintesis.-Reduccion-y-asimilacion-del-nitrogeno-y-del-azufre.pdf

apuntes

-

Temario completo

He publicado nuevos apuntes de 2º Microbiología: Temario completo

1.-Concepto-y-desarrollo-historico-de-la-Microbiologia.pdf
2.-Los-microorganismos-en-la-escala-biologica.pdf
3.-Nutricion-y-cultivo-de-microorganismos.pdf
4.-Tecnicas-de-observacion-microscopica.pdf
5.-Estructura-de-la-celula-procariota-I.pdf
6.-Estructura-de-la-celula-procariota-II.pdf