@Paolaaacb14

Bio: Estudio Psicología en la UJA

10 Publicaciones

112 Interacciones

1 Seguidores

5 Siguiendo

Lista de publicaciones de Paolaaacb14

He publicado nuevos apuntes de 1º Introducción a la Psicología : Tema-1-La-naturaleza-del-conocimiento-cientifico.pdf

8 páginas

He publicado nuevos apuntes de 1º Métodos y Diseños de Investigación Psicológica: Tema-1-La-investigacion-cientifica-en-psicologia-y-los-esquemas-de-investigacion-cientifica.pdf

7 páginas

He publicado nuevos apuntes de 1º Fundamentos de Psicobiología: Tema-3-Neurobiologia-Celular.pdf

10 páginas

He publicado nuevos apuntes de 1º Psicología de la Personalidad : Tema-1-Concepto-de-Personalidad-resumen.pdf

14 páginas

He publicado nuevos apuntes de 1º Fundamentos de Psicobiología: Tema-7-Medula-Espinal-1.pdf

12 páginas

He publicado nuevos apuntes de 1º Fundamentos de Psicobiología: Tema-2-Principios-de-Genetica.pdf

8 páginas

He publicado nuevos apuntes de 1º Fundamentos de Psicobiología: Tema-1-Concepto-de-Psicobiologia.pdf

3 páginas

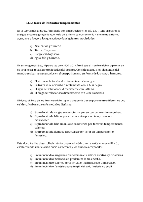
He publicado nuevos apuntes de 1º Psicología de la Personalidad : TEMA-3.-ELEMENTOS-ESTRUCTURALES-DE-LA-PERSONALIDAD..pdf

17 páginas

He publicado nuevos apuntes de 1º Psicología de la Personalidad : TEMA-2.-METODOS-DE-INVESTIGACION-Y-EVALUACION-EN-PSICOLOGIA-DE-LA-PERSONALIDAD..pdf

11 páginas

He publicado nuevos apuntes de 1º Psicología de la Personalidad : Tema-1-Psicologia-de-la-Personalidad.pdf

18 páginas