@ria_ferreira

Bio: Hola! Aquí están todos los resúmenes que me hice en pdf para estudiar para selectividad. Saqué un 9,2 en la fase general. También me presenté a las específicas de biología y química desde el bachiller de artes, por lo tanto, también tengo apuntes de eso!

12 Publicaciones

121 Interacciones

0 Seguidores

0 Siguiendo

Lista de publicaciones de ria_ferreira

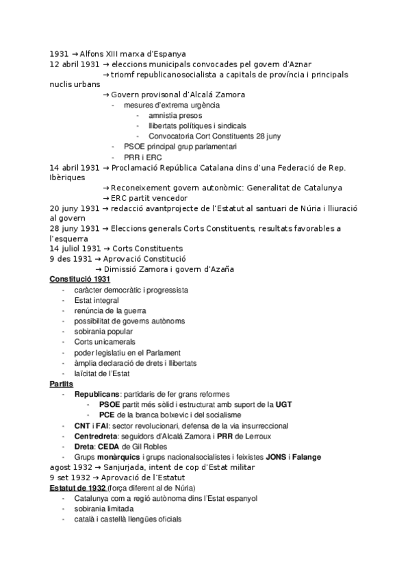
dates importants i ordenades cronològicament de la segona república

word

dates importants i ordenades cronològicament de la Restauració

word

Punts bàsics de tot el temari que cal saber per afrontar la selectivitat

12 páginas

He publicado nuevos apuntes de Fundamentos Artísticos: MODERNISME.pdf

3 páginas

He publicado nuevos apuntes de Lengua Castellana y Literatura II: LA-FUNDACION.pdf

3 páginas

Exemples d'obres de cada moviment i petits anàlisis

9 páginas

Petit resum amb dates per ubicar el tema

4 páginas

He publicado nuevos apuntes de Historia de España: FRANQUISME.pdf

7 páginas

apunts del tema molt resumit

6 páginas

també inclou informació de teatre, dansa, música...

16 páginas

He publicado nuevos apuntes de Fundamentos Artísticos: SEGLE-XIX-DEL-ROMANTICISME-AL-POST-IMPRESSIONISME.pdf

9 páginas

Apunts dirigits per a estudiar per les PAU

12 páginas