@user_1701795

Estudios: ESO ...Mostrar más

8 Publicaciones

73 Interacciones

2 Seguidores

1 Siguiendo

Lista de publicaciones de user_1701795

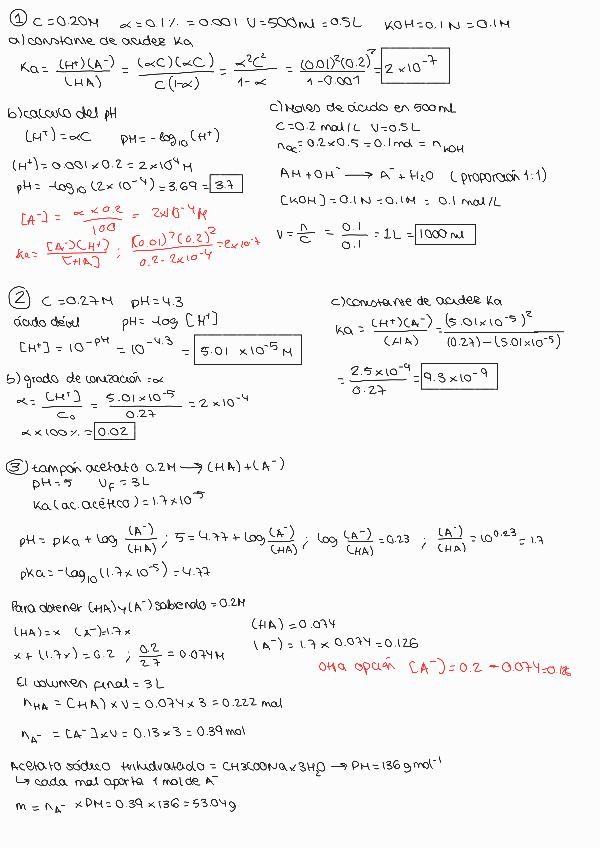
He publicado nuevos apuntes de 2º Bioquímica I: Estructura y función de biomoléculas: Problemas-acido-baseTema-1250923161914.pdf

5 páginas

He publicado nuevos apuntes de 2º Genética I: De los genes a las poblaciones: Tema1apun250930171714.pdf

7 páginas

He publicado nuevos apuntes de 2º Genética I: De los genes a las poblaciones: Tema2apun251009163542.pdf

7 páginas

He publicado nuevos apuntes de 2º Botánica Criptogámica: Definiciones-1-7.pdf

6 páginas

He publicado nuevos apuntes de 1º Matemáticas: Formulas-del-tema1y2.pdf

1 página

He publicado nuevos apuntes de 1º Biología Evolutiva: temasBE250707184600.pdf

236 páginas

He publicado nuevos apuntes de 1º Bioestadística: Tema-1BIOEST.pdf

5 páginas

He publicado nuevos practicas de 2º Botánica Criptogámica: PRACTICAS-BTC.pdf

34 páginas