@user_4256570

Estudios: Grado en Ingeniería Eléctrica (UVIGO) ...Mostrar más

40 Publicaciones

73 Interacciones

0 Seguidores

0 Siguiendo

Lista de publicaciones de user_4256570

Ejercicios de probabilidad. No prometo que estén todos bien. Siento lo de las páginas mal ajustadas.

8 páginas

Resumen del tema de probabilidad de Estadística. Siento lo de las páginas mal ajustadas.

2 páginas

Resumen del tema de variables aleatorias de Estadística. Siento lo de las páginas mal ajustadas.

4 páginas

Ejercicios del tema de introducción de física 1. No prometo que estén bien ni que estén todos. Los saltos de página son cosa de OneNote.

4 páginas

Resumen del tema de introducción de Física 1.

5 páginas

Resumen del tema de cinemática del punto de Física 1.

2 páginas

Ejercicios de cinemática. No prometo que estén bien ni que estén todos. Los saltos de página son cosa de OneNote.

3 páginas

Ejercicios de las leyes de Newton. No prometo que estén bien ni que estén todos. Los saltos de página son cosa de OneNote.

4 páginas

Resumen del tema de Newton de Física 1.

3 páginas

Resumen del tema de trabajo y energía cinética de Física 1.

3 páginas

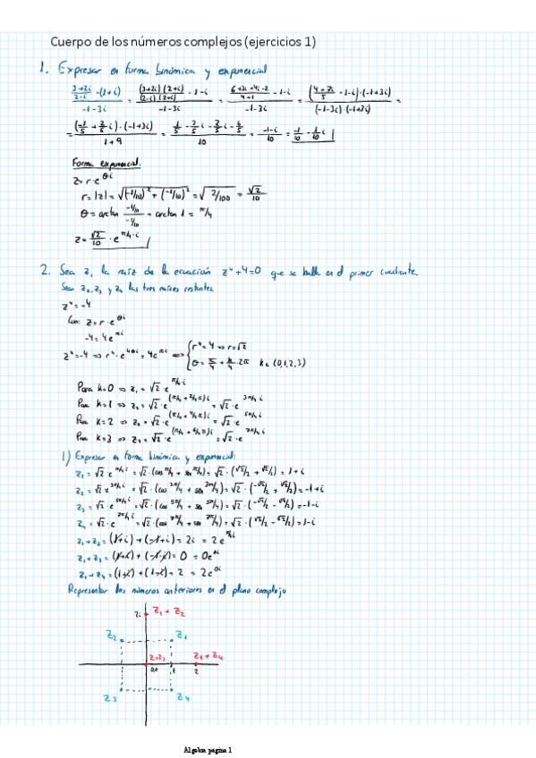
Resumen de complejos de Álgebra. Siento los saltos de página mal ajustados (y la letra).

2 páginas

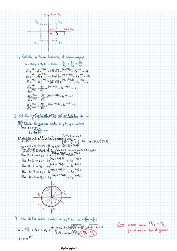
Ejercicios de alguno de los boletines de complejos (álgebra), aunque no me acuerdo de cuál. Siento los saltos de página mal ajustados (y la letra). Tampoco prometo que estén todos los ejercicios, ni que estén bien hechos.

5 páginas

Resumen del tema de matrices, determinantes y sistemas de Álgebra. Siento los saltos de página mal ajustados (y la letra).

6 páginas

Resumen del tema de espacios vectoriales de Álgebra. Siento los saltos de página mal ajustados (y la letra).

4 páginas

Resumen del tema de números reales, principio de inducción y topología usual. Se que se ven mal los saltos de página (cosas del OneNote), pero no sé cómo solucionarlo.

5 páginas

Ejercicios resueltos por mí del boletín 1 de Cálculo 1. No prometo que estén todos ni que estén bien hechos (aunque eso espero). Se que se ven mal los saltos de página (cosas del OneNote), pero no sé cómo solucionarlo.

8 páginas

Resumen de los temas de sucesiones y series. Se que se ven mal los saltos de página (cosas del OneNote), pero no sé cómo solucionarlo.

5 páginas

Ejercicios resueltos por mí del boletín 2 de Cálculo 1. No prometo que estén todos ni que estén bien hechos (aunque eso espero). Se que se ven mal los saltos de página (cosas del OneNote), pero no sé cómo solucionarlo.

9 páginas

Resumen de los temas de cálculo de continuidad (de una y varias variables). Se que se ven mal los saltos de página (cosas del OneNote), pero no sé cómo solucionarlo.

3 páginas

Ejercicios resueltos por mí del boletín 3 de Cálculo 1. No prometo que estén todos ni que estén bien hechos (aunque eso espero). Se que se ven mal los saltos de página (cosas del OneNote), pero no sé cómo solucionarlo.

6 páginas