@user_4407144

Bio: Matemático con mucho tiemplo libre

10 Publicaciones

20 Interacciones

0 Seguidores

0 Siguiendo

Lista de publicaciones de user_4407144

He publicado nuevos apuntes de 6º Inferencia Estadística: Estimacion-puntual.pdf

2 páginas

He publicado nuevos apuntes de 6º Inferencia Estadística: Intervalos-para-proporciones.pdf

4 páginas

He publicado nuevos apuntes de 4º Métodos Numéricos: P.V.F.pdf

5 páginas

He publicado nuevos apuntes de 4º Métodos Numéricos: SegundaDerivada.pdf

8 páginas

He publicado nuevos ejercicios de 6º Inferencia Estadística: EstadisticaEjercicios.pdf

16 páginas

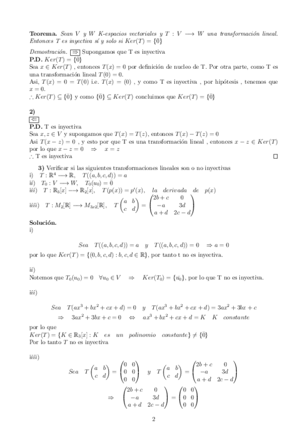
He publicado nuevos ejercicios de 4º Álgebra Lineal II: Ejercicios1AlgebraLineal2.pdf

3 páginas

He publicado nuevos ejercicios de 5º Análisis Matemático I: EjerciciosAnalisisMatematico.pdf

4 páginas

He publicado nuevos ejercicios de 3º Álgebra Lineal I: EjerciciosAlgebraLineal.pdf

3 páginas

He publicado nuevos ejercicios de 6º Teoría de Números: Ejercicios.pdf

5 páginas

He publicado nuevos apuntes de 7º Teoría de Digráficas: Digraficas.pdf

18 páginas