@user_5011971

Estudios: ESO

12 Publicaciones

68 Interacciones

2 Seguidores

1 Siguiendo

Lista de publicaciones de user_5011971

He publicado nuevos apuntes de 1º Lengua Castellana y Literatura: Castellano-4t-ESO-deberes-de-verano-2019-2020.pdf

11 páginas

He publicado nuevos apuntes de 1º Lengua Castellana y Literatura: repaso-de-la-oracion-simple-4c2ba-de-eso.pdf

16 páginas

He publicado nuevos apuntes de 1º Lengua Castellana y Literatura: 791633.pdf

38 páginas

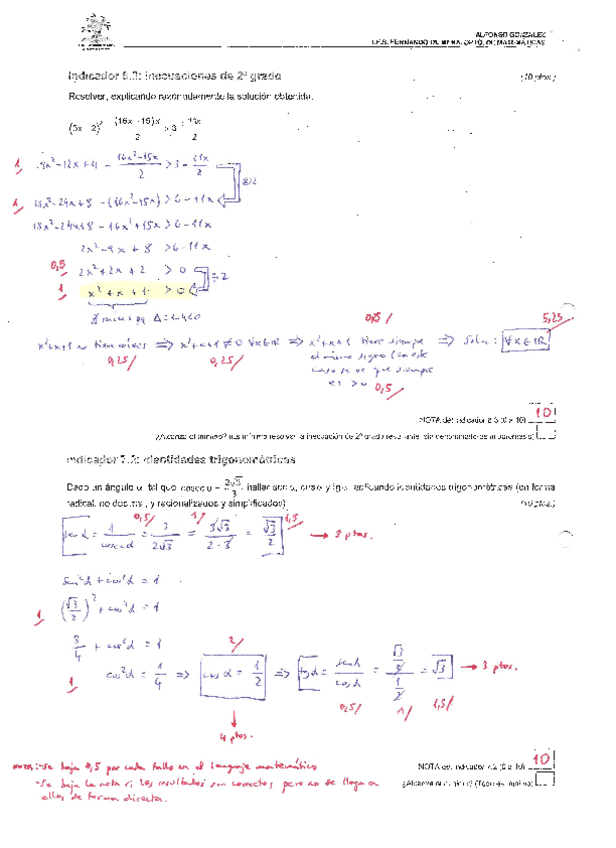
He publicado nuevos apuntes de 4º Matemáticas B: 01Controlreales.pdf

1 página

He publicado nuevos apuntes de 4º Matemáticas B: 03ExamenGliobalrealesalgebra.pdf

1 página

He publicado nuevos apuntes de 4º Matemáticas B: 02Controlrealesalgebra-1.pdf

1 página

He publicado nuevos apuntes de 4º Matemáticas B: 04Recuprealesalgebra.pdf

1 página

He publicado nuevos apuntes de 4º Matemáticas B: 05Controlprop.funciones.pdf

1 página

He publicado nuevos apuntes de 4º Matemáticas B: 06Controlfunciones-geometria.pdf

1 página

He publicado nuevos apuntes de 4º Matemáticas B: 07globalfuncionesgeometria.pdf

2 páginas

He publicado nuevos apuntes de 4º Matemáticas B: 10Controltrigonometriaestadistica.pdf

1 página

Examen con respuestas

4 páginas