@userrname16

0.29 € • 652 EXP

Estudios: Bachillerato ...Mostrar más

19 Publicaciones

58 Interacciones

3 Seguidores

38 Siguiendo

Lista de publicaciones de userrname16

apuntes

-

Tema 1-Matrices

He publicado nuevos apuntes de 2º Matemáticas II: Tema 1-Matrices

Tema-1-Matrices.pdf
1.1.pdf

apuntes

-

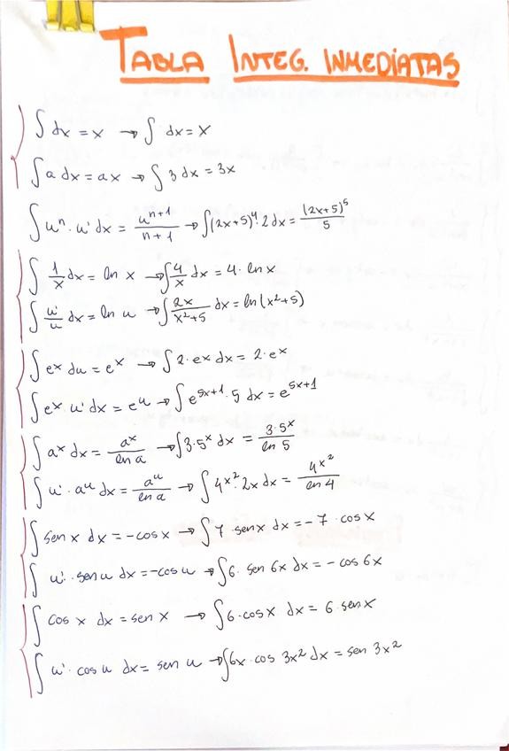
Tema 12- Integrales indefinidas

He publicado nuevos apuntes de 2º Matemáticas II: Tema 12- Integrales indefinidas

Tema-12-Integrales-indefinidas.pdf

apuntes

-

Lengua castellana y literatura

Oración compuesta/ subordinadas

Sintaxis.pdf

He publicado nuevos apuntes de 1º Anatomía Aplicada: Musculos.pdf

2 páginas

He publicado nuevos apuntes de 1º Física y Química: Cinematica.pdf

3 páginas

apuntes

-

Inglés

He publicado nuevos apuntes de 1º Inglés I: Inglés

Modal-Verbs.pdf
Exercises-future-modal-verbs.pdf
Future.pdf

apuntes

-

Biología

Apuntes y ejercicios

Bioquimica.pdf
Esquema-bioquimica.pdf
Ejercicio-repaso-bioquimica.pdf
Plantas-nutricion-relacion.pdf

apuntes

-

Dinámica

He publicado nuevos apuntes de 1º Física y Química: Dinámica

IMG7001.jpeg
IMG7003.jpeg
IMG7004.jpeg
IMG7005.jpeg

He publicado nuevos apuntes de 1º Matemáticas I: Numeros-complejos.pdf

2 páginas