@Valeriaagirona_

Estudios: Bachillerato ...Mostrar más

Bio: Estudiando 2º de Bach. Subo apuntes de Biología, Historia de España, Lengua Castellana y Literatura y Filosofía :)

33 Publicaciones

136 Interacciones

2 Seguidores

1 Siguiendo

Lista de publicaciones de Valeriaagirona_

Resumen de las causas y consecuencias de la guerra civil, además de la explicación del conflicto en cada bando y las diferentes batallas + carteles de guerra ;)

4 páginas

Incluye el antropocentrismo, la reforma protestante de Martín Lutero y a Maquiavelo y Descartes :)

2 páginas

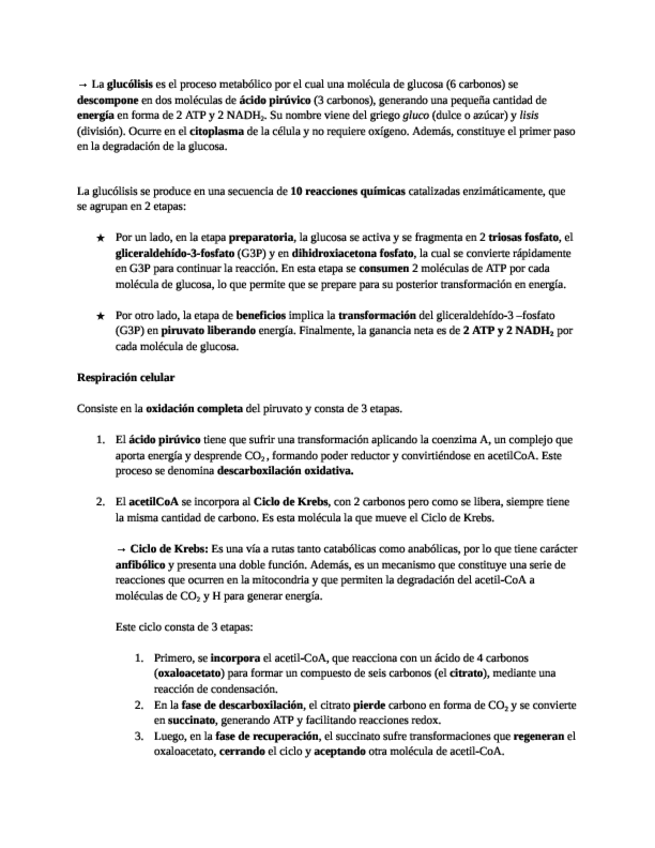
Apuntes de las reacciones químicas, las enzimas, el metabolismo y una breve introducción del catabolismo y anabolismo :)

8 páginas

Apuntes de la proclamación de la segunda república, bienos reformista y conservador, partidos políticos, revolución de 1934 y el frente popular.

5 páginas

Apuntes del ciclo celular, mitosis y meiosis

4 páginas

Resumen del Tema 9 de Biología. Incluye: Citoesqueleto, centrosoma, cilios y flagelos, nucleo celular, cromatina y cromosomas.

5 páginas

Resumen de la demografía, agricultura, industria, sociedad y economía y la mujer en el siglo XX

3 páginas

De Hipatia a Agustín de Hipona y la Escolástica.

4 páginas

Resumen Historia de España: Reformas, Semana trágica, Crisis y Dictadura Primo de Rivera

8 páginas

Resumen Historia de España Alternancia y Caciquismo

5 páginas

He publicado nuevos apuntes de 2º Biología II: Resumen-Biologia-Organulos-Documentos-de-Google.pdf

6 páginas

He publicado nuevos apuntes de 2º Biología II: Resumen-Biologia-La-Membrana-Plasmatica-Documentos-de-Google.pdf

5 páginas

He publicado nuevos apuntes de 2º Biología II: Resumen-Biologia-ADN-y-ARN-Documentos-de-Google.pdf

5 páginas

He publicado nuevos apuntes de 2º Biología II: Resumen-Biologia-Proteinas-Documentos-de-Google.pdf

4 páginas

He publicado nuevos apuntes de 2º Biología II: Resumen-Biologia-Lipidos-Documentos-de-Google.pdf

3 páginas

He publicado nuevos apuntes de 2º Historia de España: La-transicion-al-capitalismo-Documentos-de-Google.pdf

5 páginas

He publicado nuevos apuntes de 2º Historia de España: El-sexenio-democratico-Documentos-de-Google.pdf

4 páginas

He publicado nuevos apuntes de 2º Historia de la Filosofía: Resumen-Filosofia-El-Pensamiento-de-Platon-Documentos-de-Google.pdf

4 páginas

Incluye la política, la justicia y la mujer, en concreto a Aspasia de Mileto. SIrve de resumen para entender mejor sus ideas.

9 páginas

He publicado nuevos apuntes de 2º Historia de la Filosofía: Resumen-El-Nacimiento-De-La-Filosofia-Documentos-de-Google.pdf

3 páginas