@zeudivg

29 Publicaciones

1.52k Interacciones

2 Seguidores

0 Siguiendo

Lista de publicaciones de zeudivg

He publicado nuevos ejercicios de 1º Química para la Ingeniería: quimica-curso-2324-ejercicios-tipo-examen.pdf

38 páginas

He publicado nuevos examenes de 2º Elasticidad y Resistencia de Materiales: ERMejerciciostipoexamen.pdf

23 páginas

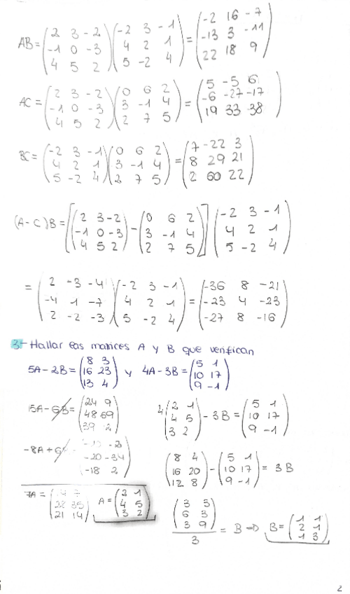
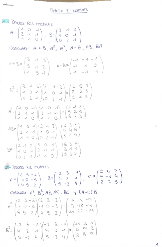
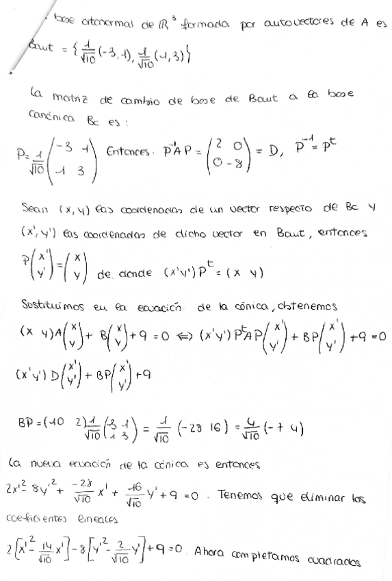
He publicado nuevos apuntes de 1º Álgebra Lineal y Geometría: Algebraparte2.pdf

120 páginas

He publicado nuevos apuntes de 1º Álgebra Lineal y Geometría: Algebraexamenesboletinesteoriaextra.pdf

79 páginas

He publicado nuevos apuntes de 1º Informática aplicada a la Ingeniería: PREGUNTAS-TEORIA-INFORMATICA.pdf

29 páginas

apuntes

-

Informes ofimática

He publicado nuevos apuntes de 1º Informática aplicada a la Ingeniería: Informes ofimática

Informe-Impress.pdf
Informe-hoja-de-calculo.pdf
Informe-writter.pdf

He publicado nuevos apuntes de 1º Estadística y Optimización: supuestopractico.pdf

7 páginas

He publicado nuevos apuntes de 1º PRINCIPIOS DE INGENIERÍA NAVAL: Primer-parcial-resuelto.pdf

13 páginas

He publicado nuevos apuntes de 1º PRINCIPIOS DE INGENIERÍA NAVAL: Formulasproblemas.pdf

2 páginas

He publicado nuevos apuntes de 1º PRINCIPIOS DE INGENIERÍA NAVAL: Problemasresueltos.pdf

11 páginas

He publicado nuevos apuntes de 2º Diseño e Interpretación de planos de Arquitectura Naval: teoriaextra.pdf

19 páginas

apuntes

-

Problemas examen 2021

He publicado nuevos apuntes de 1º Química para la Ingeniería: Problemas examen 2021

Problema2-EXAMEN20ENE2021.pdf
Problema1-EXAMEN20ENE2021.pdf
Problema3-EXAMEN20ENE2021.pdf

He publicado nuevos apuntes de 1º Química para la Ingeniería: Preguntas-de-Teoria-EXAMEN20ENE2021.pdf

7 páginas

He publicado nuevos apuntes de 1º PRINCIPIOS DE INGENIERÍA NAVAL: PIN.pdf

112 páginas

apuntes

-

Preguntas tipo test OGE

He publicado nuevos apuntes de 1º Organización y Gestión de Empresa: Preguntas tipo test OGE

PREGUNTAS-TIPO-TEST-T4-T7.pdf
PREGUNTAS-TIPO-TEST-T8-t12.pdf

He publicado nuevos apuntes de 1º Estadística y Optimización: ejercicios-examen-septiembre-2021.pdf

7 páginas