Gauss

Publicaciones sobre Gauss

apuntes

-

Capitulo 2: Teoría Local de Superficies

He publicado nuevos apuntes de 2º Curvas y Superficies: Capitulo 2: Teoría Local de Superficies

Tema-2-Funciones-diferenciables-sobre-superficies.pdf
Tema-1-Superficies-regulares.pdf
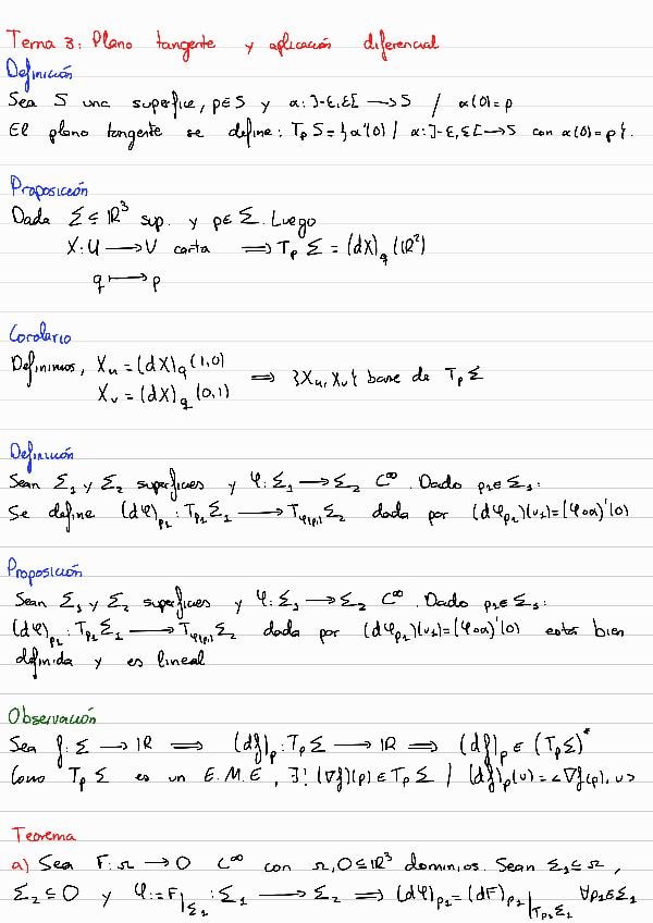
Tema-3-Plano-Tangente-y-Aplicacion-diferenciable.pdf
Tema 4 Aplicacion-de-Gauss-y-orientacion-en-superficies.pdf.pdf

Cuestionario 7 resuelto para cualquier valor.

4 páginas

He publicado nuevos apuntes de 1º Física II: CAPITULO-24-LEY-DE-GAUSS.pdf

21 páginas

apuntes

-

electricidad(parcial 1)

He publicado nuevos apuntes de 1º Física II: electricidad(parcial 1)

tema2-gauss.pdf
tema1-campo-y-potencial-electrico.pdf
tema5-corriente-electrica.pdf
tema4-dielectricos.pdf
tema-3-conductores.pdf

Geología Prácticas: Diagrama Ombrotérmico de Gaussen, Índice de Thornwaite y Evapotranspiración.

3 páginas

Cuestionario 6 resuelto para cualquier valor.

5 páginas

He publicado nuevos apuntes de 2º Matemáticas II: Bloque-2.-Algebra.-Metodo-Gauss.pdf

9 páginas

Primera parte de una ficha de problemas de gauss de matemáticas de ciencias sociales.

1 página

He publicado nuevos ejercicios de 4º Ampliación de Matemáticas: Gauss-Seidel.wxmx

Miniatura no disponible

- Esfera maciza con densidad uniforme - Esfera maciza con densidad NO uniforme - Esfera conductora - Línea infinita - Esfera hueca cargada - Esfera hueca cargada con una carga puntual en su interior - Plano infinito - Dos planos infinitos (condensador)

6 páginas

Cuestionario 5.Para Cualquier valor.

7 páginas

He publicado nuevos ejercicios de Matemáticas II: Sistemas-de-ecuaciones-discutidos-y-resueltos-con-Gauss-o-Kramer.pdf

5 páginas

practicas

-

PL COMPLETA

todas las funciones bien hechas y todas las prácticas resueltas y exámenes de PL

biseccion.m
biseccioniter.m
circulo.m
Cuestionari002.m
Cuestionario01.m
errorgauss.m

He publicado nuevos apuntes de 3º Psicología de las Organizaciones: Tema-3.pdf

15 páginas

He publicado nuevos apuntes de 3º Psicología de las Organizaciones: Tema-2.pdf

18 páginas

He publicado nuevos ejercicios de 1º Física: Ejercicios-resueltos-Ley-de-Gauss.pdf

5 páginas

Cuestionario 4 resuelto para Cualquier valor

4 páginas

ejercicios

-

Tema 2: Teorema Egregium de Gauss

He publicado nuevos ejercicios de 3º TEORÍA GLOBAL DE SUPERFICIES: Tema 2: Teorema Egregium de Gauss

Enunciados.pdf
Solucionario.pdf

ejercicios

-

y-Teoria-Algebra

En esta carpeta encontraras todo tipos de ejercicios de sistemas e inecuaciones ademas de sus soluciones.

Inecuaciones-con-dos-incocnitas.pdf
INECUACIONES-CON-FRACCIONES-ALGEBRAICAS.pdf
INECUACIONES-DE-PRIMER-y-SEGUNDO-GRADO.pdf
SISTEMAS-INECUACIONES-DEF.pdf
problemas-resueltos-po-el-mecc81todo-de-gaussejercicios-resueltos.pdf
sistemasdeecuacionesnolinealesejerciciosresueltos.pdf

He publicado nuevos apuntes de 1º Física II: 7-Ley-de-Gauss-Serwey-24.pdf

19 páginas