Resistencia
La resistencia es un concepto clave en nuestra vida diaria, que abarca tanto el ámbito físico como el emocional. A continuación, exploraremos en profundidad este fascinante tema, desglosando sus diferentes tipos y cómo podemos desarrollarla en diversas áreas de nuestra vida.
La resistencia: Un concepto multifacético
keyboard_arrow_downLa resistencia se refiere a la capacidad de un objeto, sustancia o ser humano para oponerse a cambios, movimientos o presiones. Este concepto se manifiesta en diferentes contextos, ya sea en la física, la psicología o la vida cotidiana. Comprender la resistencia es fundamental para aprender a lidiar con los desafíos que se nos presentan.
Definición de Resistencia
En el ámbito físico, la resistencia es la capacidad que tiene un material para soportar una fuerza sin deformarse o romperse. Por ejemplo, el acero es conocido por su alta resistencia, lo que lo convierte en un material ideal para la construcción de estructuras. En el contexto humano, la resistencia se refiere a la capacidad de una persona para enfrentar y superar situaciones adversas.
Tipos de Resistencia
Existen varios tipos de resistencia, entre los que destacan la resistencia física, emocional y mental. Cada uno de estos tipos juega un papel crucial en nuestra vida y bienestar. A continuación, desglosaremos cada uno de ellos.
Resistencia física
keyboard_arrow_downLa resistencia física se refiere a la capacidad del cuerpo humano para soportar esfuerzos prolongados o intensos. Esto incluye la resistencia cardiovascular, la fuerza muscular y la resistencia respiratoria.
Importancia de la Resistencia Física
Tener buena resistencia física es esencial para mantener un estilo de vida saludable. Las actividades diarias, como caminar, subir escaleras o realizar tareas del hogar, requieren un cierto nivel de resistencia. Además, una buena resistencia física puede contribuir a prevenir enfermedades y mejorar la calidad de vida.
Cómo Desarrollar la Resistencia Física
Para desarrollar la resistencia física, es importante realizar ejercicios de forma regular. Actividades como correr, nadar o andar en bicicleta son excelentes para mejorar la resistencia cardiovascular. También se recomienda incluir ejercicios de fuerza para tonificar los músculos y aumentar la resistencia general del cuerpo.
Resistencia emocional
keyboard_arrow_downLa resistencia emocional es la capacidad de una persona para enfrentar y superar situaciones difíciles desde un punto de vista emocional. Esta forma de resistencia es crucial para mantener el bienestar psicológico.
Características de la Resistencia Emocional
Las personas con alta resistencia emocional suelen mostrar características como la adaptabilidad, la autoconfianza y el optimismo. Estas cualidades les permiten enfrentar adversidades con una actitud positiva y encontrar soluciones a los problemas.
Estrategias para Fortalecer la Resistencia Emocional
Fortalecer la resistencia emocional requiere de práctica y autoconocimiento. Técnicas como la meditación, la escritura reflexiva y el establecimiento de metas pueden ayudar a fomentar una mayor resiliencia emocional. Además, rodearse de un círculo de apoyo social es fundamental para enfrentar mejor las adversidades.
Resistencia mental
keyboard_arrow_downLa resistencia mental se refiere a la capacidad de una persona para mantener la concentración y la motivación a pesar de los obstáculos y el estrés. Esta forma de resistencia es vital en situaciones de alta presión, como en el ámbito laboral o académico.
Significado de la Resistencia Mental
La resistencia mental permite a las personas enfrentar desafíos con determinación y perseverancia. Aquellos que poseen esta cualidad suelen ser más exitosos en la consecución de sus objetivos, ya que no se rinden fácilmente ante las dificultades.
Formas de Mejorar la Resistencia Mental
Mejorar la resistencia mental implica desarrollar habilidades como la gestión del tiempo, la auto-disciplina y la capacidad de establecer prioridades. La práctica de la visualización y la autoconversación positiva también son herramientas útiles para fortalecer la resistencia mental.
Conclusión y Perspectivas Futuras
keyboard_arrow_downEn conclusión, la resistencia es un concepto fundamental en la vida humana que abarca múltiples dimensiones, desde lo físico hasta lo emocional y mental. A lo largo de este artículo, hemos explorado cómo se manifiesta la resistencia en diferentes ámbitos y cómo podemos desarrollarla.
A medida que enfrentamos desafíos cada vez mayores en nuestra vida cotidiana, es esencial cultivar nuestra resistencia. Esto no solo nos permitirá superar obstáculos, sino también crecer como individuos y alcanzar nuestras metas. La resistencia no es una habilidad innata, sino una cualidad que se puede aprender y fortalecer a lo largo del tiempo. Al final, nuestra capacidad de resistencia definirá cómo enfrentamos el futuro y las adversidades que se presenten en nuestro camino.
Publicaciones sobre Resistencia
apuntes
-
APUNTES TOP
Apuntes actualizados día a día
Tema 2: Esfuerzo Cortante. Ampliación de Resitencia de Materiales
Esquema y apuntes de la resistencia a los antimicrobianos
apuntes
-
Microbiología Médica
He publicado nuevos apuntes de 2º Microbiología Médica: Microbiología Médica
PRIMO DE RIVERA RESUMEN COMPLETO DE HISTORIA DE ESPAÑA 2º BACH PAU
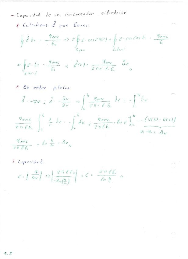
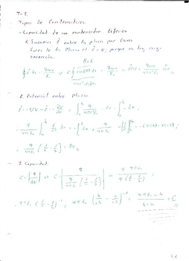
He publicado nuevos apuntes de 1º Física II: T-5-CONDENSADORES-CORRIENTES-Y-RESISTENCIAS.pdf
apuntes
-
Genet
He publicado nuevos apuntes de 3º Introducción a la Producción Animal: Genet
He publicado nuevos ejercicios de 3º Elasticidad y Resistencia de Materiales: EJ-T8.pdf
He publicado nuevos ejercicios de 3º Elasticidad y Resistencia de Materiales: EJ-T7.pdf
He publicado nuevos ejercicios de 3º Elasticidad y Resistencia de Materiales: EJ-T10.pdf
He publicado nuevos ejercicios de 3º Elasticidad y Resistencia de Materiales: EJ-T9.pdf
He publicado nuevos apuntes de 3º Elasticidad y Resistencia de Materiales: T7-INTRODUCCION-A-LA-RESISTENCIA-DE-LOA-MATERIALSS-2.pdf
He publicado nuevos apuntes de 3º Elasticidad y Resistencia de Materiales: T8-ESFUERZO-AXIAL-SIMPLE.pdf
He publicado nuevos apuntes de 3º Elasticidad y Resistencia de Materiales: T9-TEORIA-A-FLEXION.-TENSIONES.pdf
He publicado nuevos apuntes de 3º Elasticidad y Resistencia de Materiales: T10-TEORIA-GENERAL-DE-LA-FLEXION-DEFORMACIONES.pdf
He publicado nuevos ejercicios de 3º Elasticidad y Resistencia de Materiales: EJ-T2.pdf
He publicado nuevos ejercicios de 3º Elasticidad y Resistencia de Materiales: EJ-T3.pdf
He publicado nuevos ejercicios de 3º Elasticidad y Resistencia de Materiales: EJ-T5.pdf